AI翻译
中国科学院生物多样性监测与研究网络-中国科学院战略生物资源计划2024年度工作报告
目录 笔记 搜索

中国科学院战略生物资源计划2024年度工作报告— 中国科学院生物多样性监测与研究网络

中国科学院战略生物资源计划管理委员会办公室 编

内 容 简 介

中国科学院战略生物资源计划年度报告集成了中国科学院植物园、生物标本馆、生物遗传资源库、实验动物平台和生物多样性监测与研究网络五大收集保藏网络及其组成单元的年度工作进展。
中国科学院植物园开展国内外植物资源收集保藏和迁地保护,截至2024年保育植物17万种次;中国科学院生物标本馆推进生物标本(动物、植物、菌物、化石等标本)的收集保藏与鉴定,截至2024年馆藏标本近2500万号;中国科学院生物遗传资源库开展生物遗传资源(动物、植物、微生物、细胞等生物资源)的收集保藏,截至2024年保藏各类生物遗传资源超100万份;中国科学院实验动物平台开展各类实验动物资源的收集保藏与开发,截至2024年收集各类动物资源超5500种;中国科学院生物多样性监测与研究网络开展生物资源及生物多样性(基因、物种、种群、群落等)的监测与研究,截至2024年已建立30个主点和60个辅点对生物资源及生物多样性进行多层次的全面监测与研究,积累生态数据超500万条。
本报告可以为从事相关领域的科研工作者及高校师生提供参考,并可以供科普爱好者阅读。

《中国科学院战略生物资源计划2024年度工作报告》中国科学院生物多样性监测与研究网络

编 委 会
主   编:中国科学院战略生物资源计划管理委员会办公室
本册专家组(按姓氏拼音排序):
     曹 垒 陈 磊 陈亚军 冯晓娟 高 程 郭 柯 江建平 
     刘焕章 马克平 吴东辉 吴 慧 肖治术 朱朝东
本册编写组(按姓氏拼音排序):
     高心宇 高 欣 李杏春 孟凡娟 齐 银 宋创业 肖文宏
     徐学红 周青松 

前  言

战略生物资源是保障国家生物安全与生物经济发展的基石,是支撑生命科学研究、生物技术创新和生态文明建设的核心战略储备。中国科学院战略生物资源计划作为我国生物资源保护与利用的关键力量,始终致力于统筹整合优质资源,构建高效协同的收集保藏与共享体系。本报告系统集成了中国科学院植物园、生物标本馆、生物遗传资源库、实验动物平台和生物多样性监测与研究网络五大收集保藏网络及其组成单元的年度工作进展,全面呈现了战略生物资源保藏、研究与服务的整体态势。
中国科学院战略生物资源计划始终坚持资源保藏、开发利用与数据共享的深度融合,通过体系化建设与协同化运作,在维护国家生物安全、推动生物经济发展、支撑生态文明建设等方面发挥了不可替代的作用。本报告的编撰旨在全面梳理中国科学院战略生物资源计划年度工作成果,总结经验与挑战,为后续工作部署提供参考,也为社会各界了解我国战略生物资源保护与利用现状搭建交流平台。未来,我们将继续秉持创新、协同、开放、共享的理念,持续提升战略生物资源的保藏能力、研究水平与服务效能,为保障国家生物战略安全、实现人与自然和谐共生贡献更大力量。
中国科学院战略生物资源计划管理委员会办公室
2025年1月

第1章 中国科学院生物多样性监测与研究网络概况

1.1 中国科学院生物多样性监测与研究网络平台概况

1.1.1 平台定位

中国科学院生物多样性监测与研究网络(Sino BON)由中国科学院按照“科学规划、统一布局”的原则于2013年启动建设。2014年,Sino BON被亚太地区生物多样性监测网络(AP BON)和全球生物多样性监测网络(GEO BON)正式接受成为其成员网络。平台定位旨在实现对全国典型区域重要类群的长期变化态势的分析,为国家履行《生物多样性公约》、保护生物多样性及生物资源提供翔实可靠的生物多样性变化数据与决策支持。平台的主要工作包括:建立布局合理、综合配套的生物多样性测网络(30个主点,60个辅点);借助现代科学技术手段,从基因、物种、种群、群落、生态系统和景观等水平上对生物多样性进行多层次的全面监测与系统研究。

1.1.2 平台组成

目前,Sino BON包括兽类生物多样性监测专项网、森林植物多样性监测专项网、土壤微生物多样性监测专项网等10个专项网和1个综合监测管理中心,见图1-1和表1-1。
图1-1 中国科学院生物多样性监测与研究网络组成
表1-1 中国科学院生物多样性监测与研究网络平台组成
序号名称简称依托单位联系人联系方式
1综合监测管理中心综合中心中国科学院植物研究所冯晓娟wuhui@ibcas.ac.cn
2兽类生物多样性监测专项网兽类网中国科学院动物研究所肖治术xiaowenhong@ioz.ac.cn
3鸟类生物多样性监测专项网鸟类网中国科学院生态环境研究中心曹 垒leicao@rcees.ac.cn
4两栖爬行动物多样性监测专项网两爬网中国科学院成都生物研究所江建平licheng@cib.ac.cn
5内陆水体鱼类多样性监测专项网鱼类网中国科学院水生生物研究所刘焕章gaoxin@ihb.ac.cn
6昆虫生物多样性监测专项网昆虫网中国科学院动物研究所朱朝东zhouqingsong@ioz.ac.cn
7土壤动物多样性监测专项土壤
动物网
中国科学院东北地理与农业生态研究所吴东辉wudonghui@iga.ac.cn
8森林植物多样性监测专项森林网中国科学院植物研究所陈 磊chenlei@ibcas.ac.cn
9草原荒漠植物多样性监测专项网草原
荒漠网
中国科学院植物研究所郭 柯songcy@ibcas.ac.cn
10森林冠层生物多样性监测专项网林冠网中国科学院华南植物园陈亚军chenyj@xtbg.org.cn
11土壤微生物多样性监测专项网土壤
微生物网
中国科学院微生物研究所高 程gaoc@im.ac.cn

1.2 平台亮点工作

1)十年禁渔后赤水河鱼类群落明显恢复。内陆水体鱼类多样性监测专项网利用单性状的群落加权平均指数(CWM)分析了十年禁渔后赤水河鱼类群落的变化,结果显示,禁渔后鱼类群落明显恢复,其最大体长、初次性成熟年龄和体长以及寿命的群落加权平均指数显著增加。基于上述研究成果提出的长江十年禁渔效果评估、后续对策以及长江中游湖泊生态环境保护工作建议,得到了国家的高度重视。
2)提出一种基于多因素的动物灭绝风险评估框架。两栖爬行动物多样性监测专项网为弥补IUCN红色名录评估标准因忽视遗传多样性、气候和土地利用变化等对物种未来存续至关重要的因素,导致误判物种受威胁状况,阻碍针对性保护措施制定的不足,开展了基于翔实野外调查数据的统计方法技术攻关,通过结合有效种群大小、物种栖息地面积变化等关键因素,提出并优化了物种受威胁等级评估框架,并对新框架的有效性进行了验证。
3)揭示棕色大熊猫毛色变异的遗传机制。兽类生物多样性监测专项网根据收集的野生大熊猫的生态学、遗传学数据及圈养繁育信息,建立了与棕色大熊猫七仔相关的两个家系,确定了棕白毛色的常染色体隐性遗传模式,首次揭示了全球罕见的棕白色大熊猫的毛色变异由Bace2基因缺失突变导致,这种基因缺失突变会通过减小黑素体数量和大小的方式使得原本的黑色毛发呈现棕色。
4)融合大数据与人工智能构建智能化鸟类监测平台。鸟类生物多样性监测专项网融合大数据、人工智能等前沿技术,构建了智能化鸟类监测平台,实时精准跟踪鸟类种群的迁徙动态与栖息地变化,为鸟类生物多样性保护提供数据驱动的决策支持,搭建了生态数据沟通的桥梁,通过普及公民科学,提高了公民的生态保护意识。
5)揭示金龟子辐射演化与多样性格局的产生机制。昆虫多样性监测专项网提出了一种新的辐射演化与多样性格局研究范式,通过连续时空尺度上的角色变化来评估分支的演化历程,更好地解释了生物/非生物驱动因素对演化辐射的影响,解决了如何解释演化生物学中选择压力与演化辐射关系的难题。
6)开展多源遥感数据融合的生态系统结构监测与草地覆盖度高精度制图研究。作为综合监测管理中心重要组成部分的近地面遥感平台利用无人机和地基激光雷达平台在北京东灵山开展森林生态系统三维生境监测,共获取了150GB以上的激光雷达三维点云数据。平台成员与国内外科研人员合作,利用无人机高分影像、机载激光雷达和星载激光雷达等技术手段,发现了冠层结构复杂性对全球森林生产力和稳定性的正向效应,构建了融合海量无人机影像数据的中国高分辨率草地覆盖度分布图绘制方法,上述成果对于森林和草原的动态监测及其科学管理具有重要意义。
7)开展热带地区树木的植物化学多样性和植食选择压力研究。森林植物多样性监测专项网以西双版纳热带、哀牢山亚热带和玉龙雪山亚高山温带海拔梯度森林样方为研究平台,开展群落水平上树种化学多样性沿环境梯度的分布规律研究,并结合树种叶片的植食率和昆虫食性比例,探究树种叶片化学多样性格局与植食性选择压力的相关性。研究结果不仅提供了关于跨气候带环境梯度下植物化学多样性和植食性昆虫选择压力空间分布格局的广泛证据,而且从化学生态学的角度为我们理解植物的生态适应策略开辟了新的视角,进一步拓展了我们对生物多样性维持机制的理解。
8)助力国家政策决定。鸟类生物多样性监测专项网伍和启博士陪同国家发展改革委的相关专家就候鸟迁飞通道关键栖息地的保护在云南省开展调研,相关调研成果为国家发展改革委会同财政部、国家林草局编制并印发《候鸟迁飞通道保护修复中国行动计划(2024—2030年)》提供了支撑。
9)举办国际会议,提高国际影响力。草原荒漠植物多样性监测专项网发起“咸海区域生态环境综合科学考察”项目,联合多国研究团队共同推进咸海区域绿色创新合作。昆虫多样性监测专项网组织多场国际研讨会,并成立了中法国际生物多样性研究网络与全球榕-蜂研究网络。鸟类生物多样性监测专项网参与主办了第二届亚洲鸟类学大会(AOC 2024),对亚洲乃至全球的鸟类学研究和鸟类多样性保护具有重要意义。兽类生物多样性监测专项网为确保可持续发展国际合作科学计划重点项目的顺利实施,先后赴缅甸开展两次生物多样性实地考察,促进了“一带一路”共建国家生物多样性分布格局的研究,为及时掌握保护地受胁状况奠定了基础。森林冠层生物多样性监测专项网承办了第十三届现代生态学讲座,93家国内外高校和研究所的近400名学者齐聚一堂,围绕全球变化与生态系统稳定性、生物多样性保护、区域可持续发展、退化生态系统修复以及濒危植物保护与国家植物园建设等关键议题开展学术交流。
10)编制国家野外科学观测研究站观测技术规范。森林植物多样性监测专项网联合多单位编制的《国家野外科学观测研究站观测技术规范 第一卷 生态系统与生物多样性-生物多样性》正式出版。该规范通过建立统一、规范、先进的观测指标体系与技术方法,以获取长期连续、高质量、可比较的多维生物多样性观测数据,进而充分发挥国家野外科学观测研究站的独特区位优势,为生物资源高效利用、生态环境保护等国家重大需求提供支撑。

第2章 2024年平台重大科研产出及建设情况

2.1 平台重要进展

2.1.1 重要研究进展

1)开展多源遥感数据融合的生态系统结构监测与草地覆盖度高精度制图研究。作为综合监测管理中心重要组成部分的近地面遥感平台利用无人机和地基激光雷达平台在北京东灵山开展森林生态系统三维生境监测,共获取了150GB以上的激光雷达三维点云数据。平台成员与国内外科研人员合作,利用无人机高分影像、机载激光雷达和星载激光雷达等技术手段,发现了冠层结构复杂性对全球森林生产力和稳定性的正向效应,构建了融合海量无人机影像数据的中国高分辨率草地覆盖度分布图绘制方法,上述成果对于森林和草原的动态监测及其科学管理具有重要意义。
2)开展热带地区树木的植物化学多样性和植食选择压力研究。森林植物多样性监测专项网以西双版纳热带、哀牢山亚热带和玉龙雪山亚高山温带海拔梯度森林样方为研究平台,开展群落水平上树种化学多样性沿环境梯度的分布规律研究,并结合树种叶片的植食率和昆虫食性比例,探究树种叶片化学多样性格局与植食性选择压力的相关性。研究结果不仅提供了关于跨气候带环境梯度下植物化学多样性和植食性昆虫选择压力空间分布格局的广泛证据,而且从化学生态学的角度为我们理解植物的生态适应策略开辟了新的视角,进一步拓展了我们对生物多样性维持机制的理解。
3)评估积雪变化对草原植物群落生产力和物种多样性的影响及其机制。草原荒漠植物多样性监测专项网依托额尔古纳森林草原过渡带生态系统研究站建立的积雪控制实验平台,通过4年积雪厚度倍增、融化时间延迟及其叠加处理,评估了积雪深度和融雪时间对地上净初级生产力和群落物种组成的影响及其潜在机制。该研究成果强调了积雪融化时间对季节性积雪覆盖的草地生态系统结构和功能的重要性,加深了对积雪生态作用及积雪变化生态后果的认知。
4)揭示棕色大熊猫毛色变异的遗传机制。兽类生物多样性监测专项网根据收集的野生大熊猫的生态学、遗传学数据及圈养繁育信息,建立了与棕色大熊猫七仔相关的两个家系,确定了棕白毛色的常染色体隐性遗传模式,首次揭示了全球罕见的棕白色大熊猫的毛色变异由Bace2基因缺失突变导致,这种基因缺失突变会通过减小黑素体数量和大小的方式使得原本的黑色毛发呈现棕色。
5)融合大数据与人工智能构建智能化鸟类监测平台。鸟类生物多样性监测专项网融合大数据、人工智能等前沿技术,鸟类生物多样性监测专项网构建了智能化鸟类监测平台(https://sino.birdapps.cn/web/index.html),实时精准跟踪鸟类种群迁徙的动态与栖息地变化,为鸟类生物多样性保护提供数据驱动的决策支持,搭建了生态数据沟通的桥梁,通过普及公民科学,提高了公民的生态保护意识。
6)揭示金龟子辐射演化与多样性格局的产生机制。昆虫多样性监测专项网提出了一种新的辐射演化与多样性格局研究范式,通过连续时空尺度上的角色变化来评估分支的演化历程,更好地解释了生物/非生物驱动因素对演化辐射的影响,解决了如何解释演化生物学中选择压力与演化辐射关系的难题。
7)十年禁渔后赤水河鱼类群落明显恢复。内陆水体鱼类多样性监测专项网利用单性状的群落加权平均指数分析了十年禁渔后赤水河鱼类群落的变化,结果显示,禁渔后鱼类群落明显恢复,其最大体长、初次性成熟年龄和体长以及寿命的群落加权平均指数显著增加。基于上述研究成果提出的长江十年禁渔效果评估、后续对策以及长江中游湖泊生态环境保护工作建议,得到了国家的高度重视。
8)揭示西北干旱区绿洲农田大型土壤动物营养结构与耕作时间长度关系。土壤动物多样性监测专项网依托河西走廊干旱绿洲农田的长期定位监测样地,利用手捡法系统调查了张掖绿洲不同开垦年限(10年、30年、50年和100年)农田和撂荒农田大型土壤动物群落组成与土壤环境要素变化,并观测了张掖绿洲农田演变过程中土壤动物营养结构变化与土壤环境的关系。监测结果表明,河西走廊绿洲农田耕作对土壤质量具有积极影响,提高了大型土壤动物多样性,有助于增强农田生态系统的恢复力和生产力。
9)阐明青藏高原草甸退化对土壤丛枝菌根共生的影响。土壤微生物多样性监测专项网利用野外观测和温室同位素双标记技术,发现草甸退化提高了生物市场中植物来源碳交换菌根真菌供给氮的交易价格、增加了菌根真菌网络的复杂度,且菌根真菌将更多生物量投入到具有吸收功能的菌丝体,代价是减少了具有繁殖功能孢子的数量。此外,尽管根外菌丝和土壤孢子比例随草甸退化显著升高,土壤菌根真菌群落却保持稳定,表明了丛枝菌根功能性状的可塑性。
10)提出一种基于多因素的动物灭绝风险评估框架。两栖爬行动物多样性监测专项网为弥补IUCN红色名录评估标准因忽视遗传多样性、气候和土地利用变化等对物种未来存续至关重要的因素,导致误判物种受威胁状况,阻碍针对性保护措施制定的不足,开展了基于翔实野外调查数据的统计方法技术攻关,通过结合有效种群大小、物种栖息地面积变化等关键因素,提出并优化了物种受威胁等级评估框架,并以分布于青藏高原的10个具有重要生态功能的龙蜥属(Diploderma)物种为测试对象,对新框架的有效性进行了验证。

2.1.2 参与的重要国际活动、任务

1)咸海区域生态环境综合科学考察。2024年8月23日,由草原荒漠植物多样性监测专项网团队发起,并联合乌兹别克斯坦和俄罗斯等国科学家共同开展的“咸海区域生态环境综合科学考察”活动在乌兹别克斯坦首都塔什干启动。此次综合科学考察将通过对干涸湖盆生物多样性、土壤、水文、地形地貌等实地考察,研究咸海干涸生态退化机理,提出“咸海生态修复和绿色发展方案与路线图”。此次考察旨在推动解决咸海生态危机,共同推进咸海区域绿色创新合作。
2)开展缅甸中部生物多样性考察。2024年7月30日至10月25日、11月18~25日,为保证可持续发展国际合作科学计划(SDIC)重点项目“缅甸中部生物多样性分布格局、保护状态和保护地网络优化研究”的顺利实施,兽类多样性监测专项网权锐昌研究员与当地政府部门紧密合作,带领团队对5个缅甸中部地区开展了两次生物多样性实地考察,考察工作包括安装红外相机、采集DNA样本、样线调查以及访谈、问卷调查等。此次考察推动了“一带一路”共建国家生物多样性分布格局的研究,为及时掌握保护地受胁情况奠定了基础。
3)第一届中法国际生物多样性研究网络双边研讨会。2024年6月24~25日,昆虫多样性监测专项网朱朝东研究员作为主要负责人组织召开了第一届中法国际生物多样性研究网络双边研讨会,此次会议邀请了生物多样性领域的多位中法科学家。此次研讨会就气候变化、生物多样性丧失和保护、病毒多样性、昆虫多样性等研究方向进行了为期两天的学术报告,并对中法面临的生物多样性全球共性问题进行了深度探讨,为中法两国在多样性领域的深度合作奠定基础。会上正式成立了中法国际生物多样性研究网络。
4)榕树与榕小蜂创新研究国际研讨会。2024年9月25~27日,昆虫多样性监测专项网组织召开了中国科学院榕树与榕小蜂创新研究国际研讨会。会议的主题是国际榕树榕小蜂研究网络、前沿论坛及合作研究,旨在围绕榕-蜂进化关键问题和榕树资源保护利用研究等内容构建国际合作网络,发挥青年科研人员优势,开展具有示范意义的国际合作。此次会议有来自法国、英国、泰国、马来西亚、尼泊尔、老挝以及国内多家单位的70多名研究学者通过线上线下的方式参与。在会议开幕式环节,会场的专家共同为“全球榕-蜂研究网络”(Global Research Network of Ficus and Fig Wasps)揭牌,并签署了共建该网络的倡议书。
5)第二届亚洲鸟类学大会(AOC 2024)。2024年11月14~17日,鸟类生物多样性监测专项网等单位在北京联合主办了第二届亚洲鸟类学大会(AOC 2024)。此次大会由孙悦华研究员担任大会主席,共有528位注册代表,包括来自亚洲、美洲、欧洲、非洲和大洋洲等30个国家和地区的110余名国外研究者和嘉宾,涉及21个“一带一路”共建国家,参会总人数近600人。此次会议聚焦行为生态学、保护生物学和鸟类迁徙研究等热点问题,对亚洲乃至全球的鸟类学研究和鸟类多样性保护具有重要意义。
6)助力履行国际公约义务。鸟类生物多样性监测专项网在亚洲尺度下开展的系列研究成果被“湿地国际”(Wetlands International)采纳( 水鸟种群门户网站, wpp.wetlands.org),对国际公约《湿地公约》和联合国《生物多样性公约》的履约做出了具体贡献。专项网负责人曹垒研究员为东亚-澳大利西亚迁飞区伙伴关系协定(EAAFP)技术委员会成员,这为我国在国际社会中赢得了更多话语权。

2.1.3 支撑国家有关部门的重要贡献/任务

1)内陆水体鱼类多样性监测专项网提出关于长江十年禁渔效果评估和后续对策及长江中游湖泊生态环境保护工作的建议,得到国家的高度重视。
2)鸟类生物多样性监测专项网伍和启博士陪同国家发展改革委相关专家就候鸟迁飞通道关键栖息地的保护问题在云南省调研。相关调研成果为国家发展改革委会同财政部、国家林草局编制并印发《候鸟迁飞通道保护修复中国行动计划(2024—2030年)》提供了支撑。
3)森林植物多样性监测专项网《国家野外科学观测研究站观测技术规范 第一卷 生态系统与生物多样性》正式出版。该丛书的出版标志着国家野外站管理更加规范化,同时有效推动国家野外站观测研究工作的长期稳定发展。

2.1.4 支撑地方的重要贡献/任务

1)助力地方政策决定。兽类生物多样性监测专项网连新明主笔起草的《预防缓解三江源国家公园“人兽冲突”行动方案》由三江源国家公园、青海省林业和草原局、玉树藏族自治州人民政府和果洛藏族自治州人民政府联合发布。
2)支撑地方监测能力建设。鸟类生物多样性监测专项网的长期监测数据为云南鸟类迁徙通道判定提供了部分依据,支撑了云南全境水鸟多样性监测网络设计的工作。此外,这些数据推动了黄河中游鱼类资源野外监测台站建设,推进了汾河流域鱼类多样性的本底调查和长期监测,为黄河流域生态保护提供支撑。
3)完成地方生物多样性调查。昆虫多样性监测专项网已累计完成包括山西灵空山和河北大海陀在内的13个“SITE-100”样地布设工作;完成河南济源、伊春凉水、山西灵空山、河北大海陀、湖北神农架的“SITE-100”样地年度收样工作;完成宁夏草地、西藏吉隆、澳门特别行政区等地昆虫多样性调查工作;持续在江西新岗山BEF-China样地开展多功能昆虫群的物种互作调查工作;参与东北亚地区、青海三江源、西藏、内蒙古、云南南滚河等地的昆虫多样性调查工作。森林植物多样性监测专项网已完成勐腊县种质资源普查工作,服务了地方生物多样性保护。两栖爬行动物多样性监测专项网谢锋研究员团队利用生物多样性监测平台及资源,在西藏东南部地区、西南山地沙鲁里地区及小相岭地区(四川栗子坪国家级自然保护区),进行了长达多年的实地调查,为西南山地濒危及特有两栖动物的保护提供了指导。
4)支撑地方技术标准制定。森林冠层生物多样性监测专项网云南丽江森林生物多样性国家野外科学观测研究站(以下简称“丽江站”)与丽江市草原工作站联合完成的《“‘丽玉’岩白菜”品种分株繁育技术规程》(DB 5307/T 64—2024)和《丽江云杉容器苗培育技术规程》(DB 5307/T 63—2024)已报国家市场监督管理总局备案,经丽江市市场监督管理局批准发布并正式实施。丽江站延续了前期对丽江云杉种子种苗繁殖关键技术体系建立的计划,开展了丽江云杉种苗工厂化生产工作。此外,丽江站联合丽江市林业和草原局制定的1项技术规程已获得颁布实施。
5)助力地方生物多样性保护与青少年自然教育。森林冠层生物多样性监测专项网接待了云南栗果自然教育亲子研学团队3批共60多人到站开展自然教育活动。云南栗果自然教育得到了丹麦森林教育协会的支持,在引入西方先进的森林教育理念的基础上,积极推进森林教育本地化的发展,激发了学生的好奇心和对自然探索的热情,提升了孩子们的环境保护意识和科学素养。丽江站在2024年累计开展科普活动10余次,参加人数400余人,活动参与人涵盖幼儿园、小学、中学等各年龄层。活动形式既包括以讲授为主的讲座,也包括集野外考察、实验操作、仪器使用,数据分析处理为一体的高端科普产品的推广,有效提升了科普产品的多元化价值。

2.1.5 提升生物多样性保护影响力

1)昆虫多样性监测专项网彭艳琼研究员受中国科学报社之邀,参加了科普纪录片《跟着科学家去旅行 第二集 寻迹北纬21度》第二期的拍摄工作。在纪录片中,彭艳琼研究员生动而详尽地介绍了榕树与榕小蜂充满博弈智慧的共生关系,并借助实验室中专业设备的成像照片,向观众展示了榕小蜂的特殊功能构造。通过纪录片彭研究员传播了热带雨林物种多样性及保护知识,传递了严谨求实的科研精神。
2)鸟类生物多样性监测专项网哀牢山生态站廖辰灿工程师在普洱电视台的采访中生动讲解了白鹇打斗行为,相关视频登上CCTV-13《新闻直播间》;副站长鲁志云在《东方时空》的采访中介绍了哀牢山保护区情况,并呼吁公众文明旅游,切勿未经许可擅自进入保护区的核心区;廖辰灿参与录制的科普节目《探秘哀牢山》在湖南卫视《新闻大求真》栏目播出,节目中他向观众科普了哀牢山的气候、动植物情况及生态站的日常工作,既传播科学知识,又进行科学辟谣。作为纪录片《再登地球之巅》的科学顾问,鸟类生物多样性监测专项网伍和启博士介绍了黑颈鹤保护与卫星追踪研究,纪录片在CCTV-9、央视频、央视网等平台播出;接受新疆电视台《天山论道》栏目专访时专项网科研人员,讲解白尾地鸦的生存现状、适应机制及人鸟关系。
3)森林冠层生物多样性监测专项网谭运洪在《跟着科学家去旅行 第二集 寻迹北纬21度》中带领嘉宾探访中国科学院西双版纳热带植物园(以下简称“西双版纳热带植物园”)。董金龙工程师在《澎湃新时代,律动彩云南》特别节目第二期《生态文明迈向和谐之旅》中讲解了西双版纳热带雨林保护的重要意义,并接受了老挝电视台和云南日报采访。
4)森林植物多样性监测专项网钱江源站站长陈磊与植物多样性负责人任海保参与“绿水青山就是金山银山”理念提出20周年纪录片,介绍钱江源国家公园的监测与保护经验。
5)兽类生物多样性监测专项网科研人员参与录制的短片《世界雪豹日:“豹”走新疆!一起保护“雪山之王”》展示了新疆雪豹研究和保护成果。连新明研究员团队协助拍摄了纪录片《守护三江源》。该片以团队出具的全国首份《野牦牛生态环境损害赔偿价值鉴定评估报告》为重要依据,生动呈现了三江源生态司法保护实践成果,并在CCTV-1《今日说法》播出。
6)两栖爬行动物多样性监测专项网杨维康研究员团队在参与海南卫视《这是我的岛》节目时,系统地讲解了海南两栖爬行动物。此外,团队还多次参与野生动物保护与反走私宣传,进行两次微博直播(27.7万名观众,4.6万名观众)和社区科普讲座,相关报道刊登于新疆日报和天山网等媒体。

2.2 平台建设情况

2.2.1 监测设备购置

内陆水体鱼类多样性监测专项网、昆虫多样性监测专项网、土壤动物多样性监测专项网、土壤微生物多样性监测专项网、森林冠层生物多样性监测专项网取得2024年度科研条件改善专项仪器设备类规划批复。购置马来氏网飞行昆虫收集列阵、人工巢管列阵、飞行阻隔器列阵、鱼类和水生生物环境DNA采集监测系统、野外科研级固定式气象站等设备。

2.2.2 监测站点建设

1)昆虫多样性监测专项网与美国史密森热带研究所、泰国马希隆大学正式签署了三方合作协议。根据协议,位于泰国南部考冲(Khao Chong)样地的昆虫长期监测实验室自2024年转由西双版纳热带植物园负责运转,继续开展考冲(Khao Chong)昆虫实验室对昆虫多样性的持续监测工作,同时该实验室成为海外监测站点。
2)内陆水体鱼类多样性监测专项网和山西省水产技术推广中心建立了长期合作,将共同推动黄河中游鱼类资源野外监测台站建设工作,推进汾河流域鱼类多样性的本底调查和长期监测,为黄河流域生态保护提供支撑。
3)西双版纳热带雨林站、哀牢山生态站及丽江站成功入选生态环境部第一批和第二批国家生态质量综合监测站名单。遴选生态质量综合监测站的目的是为贯彻全国生态环境保护大会精神,落实《中共中央国务院关于全面推进美丽中国建设的意见》和《全国生态质量监督监测工作方案(2023-2025年)》要求,进一步推进全国生态质量监测网络建设。生态质量综合监测站将通过深入开展生态质量监督监测,支撑服务生态保护修复监管,不断提升生态系统多样性、稳定性、持续性,为美丽中国建设贡献力量。
4)森林冠层生物多样性监测专项网钱江源站联合四川大学等单位,共同建设了“三位一体”物候监测系统。该系统能够对树冠、树干和根系的生长进行系统监测,满足了新时代森林生态系统长期定位监测树木不同器官物候的需要。目前,林冠塔吊所处位置坡度较大,护坡高差超过了5m,且塔吊供电高压变电箱没有设置专门的围栏,存在较大安全隐患。为保障森林冠层生物多样性监测平台安全运行,2024年,钱江源站在中国科学院修缮项目的支持下,新建了平台防护围栏,护栏高1.8m,长50m以上,环绕了整个塔吊平台。同时,还对高压变电箱的位置进行了调整,更换了箱体并加装安全防护框。这些修缮项目的完成,不仅大大改善了平台基础设施,还显著提升了平台的保障能力。
5)森林冠层生物多样性监测专项网丽江站依据国家野外科学观测研究站观测技术规范建立了完整的长期观测场地和专项观测场地。长期观测场地包括综合观测场1处、辅助观测场4处,并在站区内设置了气象综合观测场,水文综合观测场和控制实验场。此外,丽江站联合云南省生态环境监测中心,持续推进西南山地典型高山植被垂直带生态地面监测工作,新增云南省生态质量监测样地20个。目前,丽江站已逐步完善自身观测指标,在濒危动植物保护观测中针对区域内重要保护植物高山红豆杉和杓兰属,建立了永久观测样地,并全年开展物候观测,取得了良好效果。值得一提的是,丽江站25m通量观测铁塔设备已安装完成并投入使用,填补了站区通量观测的空白。同时,该铁塔所获取的数据还可同大样地65m通量观测铁塔数据进行比较研究。

2.2.3 数据平台建设

1)草原荒漠植物多样性监测专项网新增了白刺、喀什霸王、合头草群落类型的模式样地,复查了8块监测样地,产生数据记录6000余条。这些监测数据包含样地位置,地貌,以及群落内物种名称、高度、盖度、株数、生物量等多个字段信息。
2)内陆水体鱼类多样性监测专项网建立的赤水河水生生物物种共享信息数据库,向监测专项网上传数据1万余条。
3)近地面遥感平台利用无人机和地基激光雷达平台在北京东灵山开展森林生态系统三维生境监测,共获取了150GB以上的激光雷达三维点云数据。
4)昆虫多样性监测专项网新产生3个数据集,还有5个往年的监测数据集,累计产生4万余条昆虫多样性监测数据。这些数据涉及江西新岗山BEF-China样地、西双版纳热带植物园、大理苍山、宁夏贺兰山、西藏吉隆等样点的多个昆虫类群。
5)鸟类生物多样性监测专项网建立了融合大数据和人工智能等前沿技术的智能化鸟类监测平台(https://sino.birdapps.cn/web/index.html),可实时精准跟踪鸟类种群迁徙的动态与栖息地变化,为鸟类生物多样性保护提供数据驱动的决策支持。该平台搭建了生态数据沟通的桥梁,通过普及公民科学,提高了公民生态保护意识。
6)土壤动物多样性监测专项网开展了森林大样地、南海岛礁和河西走廊等定位监测工作,监测地理范围覆盖我国中温带、暖温带、亚热带、热带和高寒及干旱区。截至目前,已收集各类土壤动物标本3万余号,鉴定出土壤动物254种,重点监测对象是线虫、螨类、跳虫以及蚯蚓和蚂蚁等各类大型土壤动物。
7)土壤微生物多样性监测专项网对35个森林、草原、湿地和荒地典型生态系统开展了土壤微生物种类和功能多样性监测工作,并提交了15 000条监测数据;揭示了内蒙古草原土壤微生物水平基因组转移和功能多样性对氮沉降的响应规律;阐明了青藏高原土壤奇古菌适应干旱环境的进化机制;揭示了草甸退化对土壤丛枝菌根共生关系的影响。此外,其建立的微生物数据平台已测定和搜集了与全球土壤微生物相关的高质量数据集15 723套,累计完成对外服务任务29 375个。
8)截至2024年底,两栖爬行动物多样性监测专项网的“中国两栖类”信息系统共收录693种中国两栖类物种,这些物种隶属于3目13科71属,释放450个中国两栖类物种的4353条DNA条形码序列(COI和16S),覆盖65.6%的中国现生物种;收录520个中国两栖类物种的10 254张照片,覆盖75.8%的中国现生物种,监测工作取得重要进展。
9)兽类多样性监测专项网搭建的野生动物多样性监测图像数据管理平台已累计收集2.1万个样点836多万张照片(视频),记录兽类物种7目21科130余种,记录鸟类物种15目30科310余种。

2.3 平台获奖情况

1)昆虫多样性监测专项网彭艳琼研究员获2024年云南省人民政府特殊津贴并获颁证书。
2)内陆水体鱼类多样性监测专项网赵凯研究员获2024年青海省自然科学二等奖。
3)鸟类生物多样性监测专项网王强副研究员获梁希林业科学技术奖科技进步奖二等奖(排名第1)。
4)鸟类生物多样性监测专项网哀牢山生态站工程师廖辰灿受云南哀牢山国家级自然保护区楚雄管护局邀请,参与首届哀牢山南华大中山鸟类观察邀请赛,并获二等奖。
5)森林冠层生物多样性监测专项网李德铁研究员团队获2024年云南省自然科学奖一等奖(团体奖项),该奖项由云南省科学技术厅颁发。
6)森林植物多样性监测专项网鼎湖山样地获2024年岭南动植物科学技术奖二等奖。

第3章 成员单位2024年度重要工作进展

3.1 近地面遥感平台

3.1.1 平台简介

近地面遥感平台是综合监测管理中心的重要组成部分。平台以中国主要森林、草原和荒漠植被类型中的典型植物群落为监测对象,开展多尺度、多站点、多生境的联网研究,利用无人机激光雷达和高光谱等近地面遥感技术,实现三维立体生境定量参数的天地一体化综合监测研究,通过获取群落内高精度的地形信息、植物群落类别和物种分布信息以及植被三维结构信息,深入分析生物多样性和生境因子之间的关系,进而揭示生物多样性大尺度格局及其成因,为生物多样性监测、评价和保护提供技术手段和数据支持。

3.1.2 平台重大成果情况

2024年近地面遥感平台利用无人机和地基激光雷达平台在北京东灵山开展森林生态系统三维生境监测,共获取了150GB以上的激光雷达三维点云数据。平台成员与国内外科研人员合作,利用无人机高分影像、机载激光雷达和星载激光雷达等技术手段,发现了冠层结构复杂性对全球森林生产力和稳定性的正向效应,构建了融合海量无人机影像数据的中国高分辨率草地覆盖度分布图绘制方法,上述成果对于森林和草原的动态监测及其科学管理具有重要意义。相关成果分别发表于Science AdvancesISPRS Journal of Photogrammetry and Remote Sensing

3.1.3 平台亮点工作

(1)揭示了冠层结构复杂性对全球森林生产力和稳定性的正向效应
森林冠层结构的复杂性体现为叶片和枝干等冠层元素在三维空间中的占据情况及分布异质程度,其通过调控冠层内光水资源的分配来改变森林生产力和稳定性,进而影响森林生态系统固碳、保碳等功能。因此,阐明森林冠层结构复杂性与森林生产力和稳定性之间的关系,对理解森林生态系统过程、制定森林管理政策至关重要。然而,目前样地尺度的研究结果仍存在争议,缺乏大尺度森林冠层结构复杂性分布产品是深入研究其与森林生产力和稳定性关系的主要障碍。针对上述问题,近地面遥感平台融合了全球4000个森林样方的机载激光雷达数据和GEDI星载激光雷达数据,绘制出了森林冠层结构复杂性的全球分布格局,系统解析了冠层结构复杂性与森林生产力和稳定性间的关系。研究发现,在全球范围内,森林冠层结构复杂性对森林生产力和稳定性以正向影响为主,但影响效应的大小在不同森林生态区划间存在着显著的空间变异。这种变异是生物多样性效应和资源可利用性综合作用的结果,这也为理解现有样地尺度研究中的争议提供了新视角。此外,研究发现在非原生林地中,森林冠层结构复杂性显著低于原生林地,但其对生产力与稳定性的正向促进效应更为明显,这表明在非原生林地的管理过程中需要重点关注冠层结构的复杂性。通过调配树种和树龄的组合来提升森林冠层结构复杂性,有助于提升非原生林地的固碳、保碳能力。
(2)绘制了中国高分辨率草地覆盖度分布图
传统草地覆盖度测量方法费时费力、监测范围有限,难以满足大尺度草地覆盖度绘制的需求。卫星遥感虽能实现大尺度草地覆盖度反演,但存在与地面调查数据尺度不匹配的问题,导致绘制精度有限。如何实现大尺度、高分辨率草地覆盖度的精准估算仍是当前研究的瓶颈。针对上述问题,近地面遥感平台利用2021年在我国1255个样点采集的无人机影像,研发了适用于大范围、多类型无人机影像的草地覆盖度估算方法,构建了9万余条与卫星数据空间尺度匹配的草地覆盖度数据集。在此基础上,平台结合多源遥感数据和机器学习方法,成功绘制了2021年中国10m分辨率草地覆盖度分布图,该分布图具有较高的精度,显著优于传统像元分解方法。无人机数据的引入不仅降低了因空间尺度不匹配所带来的草地覆盖度估算误差,还为无人机作为地面观测与卫星遥感之间的桥梁作用提供了证据,进而为大尺度草地覆盖度监测提供了新思路。此外,所形成的草地覆盖度产品可为理解草地生态系统过程和管理草地资源提供数据支撑。

3.1.4 学术交流与培训

2024年8月13~15日,近地面遥感平台成员作为召集人在第五届野生动物监测与保护学术研讨会暨第二届全国动物声学科学与应用大会上,组织了专题为“野生动物监测与保护新技术新方法:无人机及‘3S’技术、eDNA技术、动物3D生态学等”的专题研讨。

3.2 森林植物多样性监测专项网

3.2.1 平台简介

森林植物多样性监测专项网构建了以森林大样地为基础,辅助样地和卫星样地为辅的多尺度森林生物多样性野外科学观测体系。该体系对我国地带性森林生态系统生物多样性开展了长期定位观测试验与区域综合研究,揭示了我国森林生物多样性与生态系统功能的形成和维持机制,以及其对全球变化的响应规律,为我国森林生态系统多样性、稳定性、持续性的提升及全球变化应对等国家需求提供科学数据、示范服务以及决策依据。

3.2.2 平台重大成果情况

森林植物多样性监测专项网钱江源站联合多单位编制的《国家野外科学观测研究站观测技术规范 第一卷 生态系统与生物多样性-生物多样性》正式出版。该规范通过建立统一、规范、先进的观测指标体系与技术方法,以获取长期连续、高质量、可比较的多维生物多样性观测数据,进而充分发挥国家野外科学观测研究站的独特区位优势,为生物资源高效利用、生态环境保护等国家重大需求提供支撑。

3.2.3 平台亮点工作

(1)热带地区树木的植物化学多样性和植食性更高
该研究以长期建立的云南省跨气候带(西双版纳热带、哀牢山亚热带和玉龙雪山亚高山温带)海拔梯度森林样方为研究平台,运用非靶向代谢组学技术测定了树种叶片代谢产物组成(图3-1)。通过比较代谢组学、多样性指数、系统发育比较分析等分析方法,开展群落水平上树种化学多样性沿环境梯度的分布规律研究,并结合树种叶片的植食率和昆虫食性比例,探究了树种叶片化学多样性格局与植食性选择压力的相关性。研究发现,三个气候区域(热带、亚热带和亚高山温带)的树种叶片在代谢产物组成上存在显著性差异。特别是热带地区的树种,其化学生态位空间显著高于亚热带和亚高山地区;热带地区的树种化学alpha(样方内)和beta(样方间)多样性均为最高,表明热带地区树种的代谢产物在组成和结构上的相似性非常低。进一步分析显示,热带地区样方间的植物代谢产物差异性显著地高于零模型预期,因而推测这种高周转率可能是热带地区树种高植物化学多样性的关键来源。与其他气候区域相比,热带地区树种面临的植食性昆虫选择压力更大,具体表现为更高的植食率和食性更为专一的昆虫比例。该研究结果不仅为跨气候带环境梯度下植物化学多样性和植食性昆虫选择压力空间分布格局提供了广泛证据,而且从化学生态学的角度为我们理解植物的生态适应策略开辟了新的视角,进一步拓展了对生物多样性维持机制的理解,相关成果发表于Nature Ecology & Evolution
图3-1 三个气候区间整体代谢产物水平的化学多样性(alpha和beta)格局
(2)竞争能力与种内性状差异的负相关关系可能促进幼苗物种共存
当竞争力较弱的物种展现出比其优势竞争对手更高的种内性状变异性时,这种变异性有助于促进物种共存。为验证上述现象,以树苗为研究对象进行实证研究。在一项为期3年的温室实验中,研究人员选取了来自10个物种的6750株树苗,对它们的种内变异性及性状的塑性响应进行了评估(图3-2)。研究发现,在无竞争的均质环境中,种内性状变异性与物种竞争力之间并无明显关联,但在存在种间竞争或空间异质性的环境中,两者却呈现出显著的负相关关系。进一步分析发现,这种关系主要由竞争力较弱物种的可塑性响应所驱动。与竞争力较强的物种相比,这些弱势物种在面临竞争、环境异质性及其组合所带来的挑战时,其性状变异性(特别是细根性状)的增加幅度更为显著。上述研究结果为理解种间竞争和种内性状变异性如何共同塑造植物群落结构提供了新的见解。相关研究成果发表于Nature Communications
图3-2 实验物种的竞争能力和种内性状变异之间的关系
(3)提出了新的“两阶段EM树种稳定化”观点
在森林生态系统中,有超过80%的树种与菌根真菌形成稳定的共生关系,最常见的两种菌根类型是外生菌根(EM)和丛枝菌根(AM),并在大部分温带森林表现出“少数EM建群种与大量AM非优势种混交”(以下简称“EM建群种vs. AM多样种”)的独特共存模式,但究竟什么原因导致温带森林具有这种共存格局尚不清楚。研究团队梳理归纳了解释“EM建群种vs. AM多样种”共存格局的三种理论假说,即AM树种稳定化假说、AM-EM互补效应假说和EM树种稳定化假说,并预测了三种假说对应的树种空间分布格局(图3-3)。为了验证上述三种理论假说,研究团队以长白山25hm2阔叶红松林和24hm2次生杨桦林两个大型固定监测样地为依托,采用空间点格局分析方法,系统研究了森林样地内AM和EM成树与幼树的空间分布格局。研究结果支持了EM树种稳定化假说,并且提出了新的“两阶段EM树种稳定化”观点:在早期生长阶段,EM树种周围环境适合幼苗和幼树的生存,使得EM成树与邻域AM和EM幼树之间呈现空间正关联关系,促进了AM与EM幼苗、幼树的稳定共存;在成树生长阶段,由于EM和AM树种的养分利用策略不同,使EM树种呈现聚集分布的同时对邻域AM成树产生抑制作用,最终既稳定了EM树种的优势度,又限制了AM树种的优势度。以上两个生长阶段的稳定化过程,共同决定了“EM建群种vs. AM多样种”的共存格局。相关研究成果发表于Ecology Letters
图3-3 外生菌根稳定化假说
(4)湿润而非干旱气候背景下生境片段化会提高白蚁害虫风险
该研究基于西双版纳、鼎湖山和千岛湖等全球多个局地尺度的白蚁群落调查研究,以及跨越不同海域的多个海岛白蚁物种名录发现:在湿润气候下,生境片段化会导致强竞争能力的白蚁种类急剧丧失,使害虫种类比例提升;在干旱气候下,竞争抑制作用减小,环境或扩散过滤作用增强,生境片段化会导致害虫种类比例下降(图3-4)。该研究系统评估了气候变化和生境片段化两种主要全球变化因子对白蚁害虫风险的调控机制,揭示了种间竞争作用在介导气候变化和生境片段化效应的关键作用。同时,研究结果还反映出在湿润气候区保护和修复自然生境的必要性。已有研究表明,湿润气候区(尤其是热带)正面临最为严重的森林丧失问题,而大面积的森林丧失会导致区域性的降水减少和气候干化。在两种环境胁迫的双重驱动下,白蚁害虫的风险可能正逐步升高。因此,该研究呼吁相关机构和学者共同关注森林修复和保护工作,重塑白蚁群落组成,从而降低害虫种类爆发及危害的风险。该措施相比于目前广泛使用的具有环境和生物毒性的杀虫剂更具有可持续性。相关研究成果发表于One Earth
图3-4 气候、生境片段化调控害虫风险的假说图

3.2.4 学术交流与培训

1)2024年6月12~13日,森林植物多样性监测专项网与中国科学院生物多样性委员会共同主办中国森林生物多样性监测网络成立二十周年学术研讨会,共有140多位代表注册参会。会上,王绪高研究员主持了开幕式,陈磊研究员介绍了网络过去20年主要的科学研究进展。
2)2024年9月22日,森林植物多样性监测专项网王绪高研究员和林露湘研究员在第十五届全国生物多样性科学研讨会上组织了“生物多样性维持机制”专题报告会。

3.2.5 国际合作

1)2024年7月6~13日,钱江源站米湘成副研究员受邀参加了由美国史密森热带研究所旗下的全球森林监测网络(ForestGEO)在泰国曼谷举办的ForestGEO 2024年度数据分析研讨会。
2)2023年10月至2024年11月,车八岭样地博士研究生吴婷婷赴加拿大多伦多大学进行为期一年的访学交流,开展植物入侵与多物种共存的研究。其间,她还参与了加拿大第一届生物入侵与气候变化会议,并作报告“植物入侵通过不对称竞争破坏群落稳定性(Plant invasion destabilizes communities through asymmetric competition)”。
3)2024年6月,德国UFZ环境研究中心的托尔斯滕·维甘德(Thorsten Wiegand)和安德烈亚斯·胡特(Andreas Huth)受邀访问考察了天童20 hm2森林大样地,并开展了围绕三维空间统计探索群落构建机制的合作研究。
4)2024年6月24日至7月10日,西双版纳样地杨洁研究员赴美国圣母大学推进中美合作项目。
5)2024年8月4~9日,钱江源站陈磊研究员和米湘成副研究员参加了在美国长滩举办的2024年美国生态学年会,陈磊研究员做了口头学术报告,米湘成副研究员向大会展示墙报。

3.2.6 获奖情况

鼎湖山样地获得2024年岭南动植物科学技术奖二等奖。

3.3 草原荒漠植物多样性监测专项网

3.3.1 平台简介

草原荒漠植物多样性监测专项网(简称草原荒漠网)是中国科学院生物多样性监测与研究网络的专项网之一,该专项网以植被群系为基本单元,在草原和荒漠植被主要群系的典型地段建立植物模式群落监测固定样方,定期复查,统一描述规范,长期监测草原和荒漠植物多样性变化。
2024年,草原荒漠网新建白刺、喀什霸王、合头草群落类型的模式样地(图3-5),复查监测样地8块,产生数据记录6000余条。监测数据包含样地位置、地貌等基本信息,以及群落内物种名称、高度、盖度、株数、生物量等多个字段信息。
图3-5 白刺模式样地建设

3.3.2 平台重大成果情况

由草原荒漠网发起并联合乌兹别克斯坦和俄罗斯等国科学家共同开展“咸海区域生态环境综合科学考察”活动于2024年8月在塔什干启动(图3-6)。此次综合科学考察由草原荒漠网张元明研究员牵头组织,将通过对干涸湖盆生物多样性、土壤、水文、地形地貌等实地考察,研究咸海干涸生态退化机理,提出“咸海生态修复和绿色发展方案与路线图”。此次考察旨在推动解决咸海生态危机,共同推进咸海区域绿色创新合作。
图3-6 草原荒漠网科研人员组织“咸海区域生态环境综合科学考察”

3.3.3 平台亮点工作

(1)评估积雪变化对草原植物群落生产力和物种多样性的影响及其机制
在全球气温和降雨格局发生变化背景下,冬季降雪量、积雪深度和积雪融化时间正在发生变化。这些变化势必会改变早春土壤温度和水分状况,进而对生长季植物群落结构和生产力等特征产生调控作用。相较于氮沉降、降水变化、增温等全球变化因子,积雪变化对草地生态系统结构和功能的影响尚未引起应有的关注。基于此,草原荒漠网科研人员依托额尔古纳森林草原过渡带生态系统研究站建立的积雪控制实验平台,通过4年积雪厚度倍增、融化时间延迟及其叠加处理,评估了积雪深度和融雪时间对地上净初级生产力和群落物种组成的影响及其潜在机制(图3-7)。研究发现,单独增雪对植物群落组成和地上净初级生产力无影响,而单独融雪延迟会推迟植物物候,增加地上净初级生产力,降低物种多样性并改变群落的物种组成。其中,禾本科植物的敏感性高于杂类草植物,早花杂类草植物的敏感性高于晚花杂类草植物。积雪厚度倍增与融化时间延迟存在显著的交互作用。该研究强调了积雪融化时间对季节性积雪覆盖的草地生态系统结构和功能的重要性,加深了人们对积雪生态作用及积雪变化生态后果的认知。相关研究成果发表于国际学术期刊Science of the Total Environment
图3-7 不同厚度积雪处理模式下草地植物群落地上净初级生产力和群落物种组成的影响
(2)阐明中国林草交错区地理范围和景观格局的变化及其驱动机制
在全球变化和人类活动日益加剧的背景下,林草交错区已被列入我国重点保护的生态脆弱区。然而,以往相关研究的研究范围大多基于行政区边界划定的我国北方或其局部(如大兴安岭)林草交错区,并且常常使用跨度达10年左右的间断数据分析其变化,这导致中国国家尺度林草交错区的地理范围、边界、面积、景观格局及其变化与驱动力均不明确。
为解决上述问题,草原荒漠网科研人员利用1990~2020年30m分辨率的逐年土地覆盖数据,首次基于现实植被分布从国家尺度上确定了林草交错区的地理分布范围,发现区域内森林面积持续增加,草地和农田面积持续减少,减少的草地面积主要转变为农田和森林,而农田转变为草地在一定程度上弥补了草地面积的损失(图3-8)。在景观水平和类型(森林和草地)水平上,景观破碎化程度降低的区域数量多于升高的区域。在林草交错区北部和中部两个水平上的破碎化程度变化主要为人类活动主导,南部主要是气候变化主导。具体而言,林草交错区和区域内草地的破碎化程度变化主要由退耕还草工程、农田开垦、温度变化和降水变化等主导,区域内森林的破碎化程度变化主要由造林工程、退耕还草工程、农田开垦、温度变化和降水变化等主导。该研究可以为未来深入开展我国林草交错区生态学研究提供基础数据支撑,为区域内的生物多样性保护、生态恢复工程的空间规划提供决策依据。相关研究成果发表于国际学术期刊Ecography
图3-8 中国林草交错区范围时间变化
(3)刻画古尔班通古特沙漠不同类型生物土壤结皮的高精度空间分布图
草原荒漠网科研人员以中亚典型温带荒漠古尔班通古特沙漠为研究区,结合不同演替阶段生物土壤结皮对水分事件的瞬时光谱响应具有明显差异这一特征,利用PlanetScope卫星星座的高时间(1d)和空间(3m)分辨率的影像,借助早春积雪融化事件引起的瞬时光谱响应,绘制了不同演替阶段生物土壤结皮的空间分布图(图3-9)。研究结果表明,积雪融化会显著改变生物结皮的光谱特征,有助于区分生物结皮与其他成分或不同演替阶段的生物结皮。基于随机森林模型构建的两阶段制图框架,在第一阶段和第二阶段的整体精度分别为0.958和0.802,这表明该制图框架能够在景观和区域尺度上识别不同演替阶段的空间模式。在区域尺度上,蓝藻和地衣占据了古尔班通古特沙漠广阔的区域,而半地衣在沙漠的中部和东南部较为丰富。该研究为未来深入探索荒漠生态系统结构、生态服务及其对气候变化和人类活动的响应奠定了基础。相关研究结果发表于Remote Sensing of Environment
图3-9 古尔班通古特沙漠不同演替阶段生物土壤结皮空间分布图

3.3.4 学术交流与培训

2024年7月6日,在草原荒漠网额尔古纳站顺利召开了国家林业和草原局农牧交错带草地保护国家创新联盟(以下简称联盟)理事会换届大会暨2024年学术研讨会(图3-10)。其间,师尚礼教授、沈禹颖教授、王堃教授、白文明研究员作为新一届理事会代表,从不同视角分享了关于农牧交错带草地保护的理念、技术和模式。报告会结束后,联盟成员实地考察了额尔古纳站野外试验样地。
图3-10 国家林业和草原局农牧交错带草地保护国家创新联盟考察额尔古纳站

3.3.5 国际合作

草原荒漠网王正文研究员、雒文涛副研究员、博士生特尼乌一行3人应邀出访蒙古国,参加了由蒙古国科学院植物园和植物研究所主办的国际植物科学大会并作学术报告。会上,王正文和特尼乌分别围绕沙地生态恢复中的土壤改良技术、草地的干旱适应机制和生物多样性保护做了大会报告。会议期间,王正文一行还分别与蒙古国科学院植物园和植物研究所所长图布辛陶格陶呼·音德列(Tuvshintogtokh Indree)、蒙古国立大学副校长巴特毕力格·那钦(Baatarbileg Nachin)就未来在草原和森林及其过渡带的生态学研究、沙地和退化草地修复以及生物多样性监测与保护等领域的科研合作进行了座谈(图3-11,图3-12)。
图3-11 与蒙古国科学院植物园和植物研究所所长图布辛陶格陶呼·音德列(Tuvshintogtokh Indree)所长座谈
图3-12 考察乌兰巴托周边草原植物多样性

3.4 森林冠层生物多样性监测专项网

3.4.1 平台简介

森林冠层生物多样性监测专项网在我国典型的森林植被区安装了8个塔吊,构建了林冠生物监测的世界级平台(全球共19个)。通过对大尺度地带性森林冠层内植物(包括附生种子植物和附生孢子植物)多样性、动物多样性、微生物多样性及其动态变化的长期监测,结合林冠小气候环境特征和物候监测,建立了涵盖林冠小环境与物候特征、植物多样性、节肢动物多样性和微生物多样性等5个动态更新的数据库。这些数据库可以阐明我国典型森林林冠生物多样性变化的规律,揭示其对森林生态系统功能过程的影响和对全球变化的响应。

3.4.2 平台重大成果情况

汞因其具有剧毒性与跨境传输的特性,严重威胁全球生态安全及人类健康。森林是全球汞循环最活跃的生态系统,因此精准量化森林生态系统汞的源汇关系是构建全球大气汞质量平衡的重点和难点。中国科学院地球化学研究所与森林冠层生物多样性监测专项网科研人员合作,以中国西南哀牢山(亚热带常绿阔叶林,低温高湿)、西双版纳(热带雨林,高温高湿)和元江(热带稀树灌草丛,高温低湿)三种典型森林为对象,依托两座森林林冠塔吊,研究了塔吊样地中优势树种叶片汞累积速率、大气HgO浓度、气象及叶片生理动态(图3-13,图3-14)。研究发现叶片生理性状对气候变化的响应可能会导致叶片汞累积的改变,大气相对湿度的增加可能会提高叶片汞累积速率。同时,研究指出未来温升可能会降低热带森林的叶片汞累积速率,增加亚热带森林的叶片汞累积速率。该研究为理解气候变化对森林汞循环的影响提供了新的见解,量化了植被在吸收大气HgO过程中的贡献,进一步完善了全球汞模型,上述研究成果发表于Environmental Science & Technology
图3-13 不同森林生态系统叶片吸收大气HgO的影响因素
A. 哀牢山亚热带常绿阔叶林;B. 西双版纳热带雨林;C. 元江热带稀树灌草丛
图3-14 气候-叶片生理-大气汞浓度影响叶片汞吸收的机理简述图

3.4.3 平台亮点工作

(1)揭示不同生态系统叶片暗呼吸与性状、高光谱特征的关联机制
叶片暗呼吸是森林生态系统碳循环中一个重要组成部分,在陆地生物圈模型中,常通过叶片性状(最大羧化能力、比叶质量、氮和磷浓度)来模拟。然而,这些叶片性状的模拟关系在不同森林类型间的有效性却有待评估。此外,传统的暗呼吸测量方法费时费钱费力,极大地限制了对叶暗呼吸的大规模测定及其驱动因素的验证。因此,开发一种能高效、快速且准确测定表征暗呼吸变异性的替代方法尤为重要。森林冠层生物多样性监测专项网严正兵团队依托长白山、古田山、西双版纳林冠塔吊观测系统,研究了我国温带、亚热带和热带三种典型森林的冠层叶片暗呼吸变异性及该参数与其他叶性状的关联,并评估了叶片反射光谱作为一种监测替代方案的有效性与优越性(图3-15)。研究发现,叶片高光谱能更准确地预测跨森林类型的叶片暗呼吸变异,并指出了导致暗呼吸变异的潜在因素。该研究对改善陆地植物呼吸过程建模、预测陆地生态系统碳循环过程有重要意义。该研究成果以“Linking leaf dark respiration to leaf traits and reflectance spectroscopy across diverse forest types”为题,于2024年11月19日在线发表于国际学术期刊New Phytologist
图3-15 依托林冠塔吊观测系统揭示叶片暗呼吸与性状和高光谱特征的关联机制
(2)整合叶经济学谱和高光谱遥感技术,解析跨气候带叶片磷分配格局
叶片磷组分作为表征植物磷利用策略的关键指标。植物通过动态调节不同磷组分的分配比例,实现对有限磷资源的高效利用。然而,现有的研究多局限于单一森林类型的有限物种,跨生态系统尺度的磷分配规律研究较少。森林冠层生物多样性监测专项网严正兵团队依托长白山、古田山和西双版纳的三座林冠塔吊平台,通过整合叶经济学谱与高光谱遥感技术,解析了跨气候带森林叶片的磷分配格局(图3-16)。研究发现,磷限制环境驱动了植物磷资源的优化配置,植物通过减少叶片磷向无机磷和磷脂磷的分配,将更多的磷分配给核酸磷和代谢磷,形成以高光合磷利用效率为特征的保守型磷利用策略。该研究首次从跨气候带视角揭示了森林生态系统叶片磷分配策略的环境适应机制,建立的“光谱-磷组分”定量反演模型,突破了传统化学分析方法的技术限制,为全球变化背景下森林生态系统植物磷利用策略的动态监测提供了创新技术手段。该成果发表于国际学术期刊New Phytologist
图3-16 依托林冠塔吊观测系统解析并预测跨气候带森林叶片磷分配格局
(3)揭示了叶片气孔与光合性状对水分利用效率的协同调控机制
叶片气孔和光合性状如何共同影响气候梯度上不同森林类型水分利用效率的空间分布格局以及物种间的差异是一个重要的科学问题。森林冠层生物多样性监测专项网刘玲莉研究团队利用长白山、鼎湖山、西双版纳三座林冠塔吊,研究了43种优势阔叶树种的叶片气孔性状、光合性状、最大气孔导度和最大羧化能力等参数。结合气候和土壤等环境信息,解析了环境和叶片性状对水分利用效率的调控机制(图3-17)。研究发现寒温带森林中的树木叶片表现出“快速”的经济学特性,这种特性使得叶片具有较高的叶片水分利用效率,这是树木对该地区较短生长季的适应。与此相反,热带森林树种的叶片具有较小但密度较高的气孔,其叶片水分利用效率较低,使得叶片能够快速响应多变的光照环境。该研究解析了在气候梯度下植物的光合作用和气孔性状如何调控碳-水权衡的生理生态机制,这有助于提升气候变化对森林碳水循环影响的预测能力。相关成果以 “Leaf stomatal configuration and photosynthetic traits jointly affect leaf water use efficiency in forests along climate gradients”为题发表于New Phytologist
图3-17 气候通过调控叶片气孔和光合性状影响树木水分利用效率的路径分析
(4)基因组水平上揭示热带龙脑香科植物适应热带雨林环境的分子基础及濒危原因
亚洲热带雨林中高大壮观的龙脑香亚科植物以其巨大的体型著称,如西双版纳热带望天树是中国西南低地热带雨林的单一优势类群。然而,目前3/4的龙脑香亚科物种面临灭绝风险,被列入IUCN红色名录。龙脑香科植物是如何适应热带环境并成为优势物种,如今却又沦为濒危物种的呢?这个问题成为国际上高度关心的科学问题。华东师范大学生态与环境科学学院陈小勇团队与国内外研究者合作,依托西双版纳热带林冠塔吊,采集了包括望天树、2个同源四倍体物种(坡垒与无翼坡垒)以及青梅等在内的7个龙脑香科物种,通过高质量参考基因组组装和种群基因组学分析,团队首次在基因组水平上揭示了这些植物适应热带雨林环境的分子基础及濒危原因,为这类物种的保护和恢复提供了科学依据(图3-18)。该研究成果以“Dipterocarpoidae genomics reveal their demography and adaptations to Asian rainforests”为题,于2024年2月23日发表于Nature Communications
图3-18 西双版纳热带补蚌热带雨林冠层图
(5)监测工作进展
2024年,西双版纳塔吊样地完成地面监测样地的大年复查,并获得监测数据10 852条(图3-19)。该样地内共有乔木树种229种,木质藤本89种。长白山塔吊自2023年起,累计安装了4台红外夜视自动监测仪(型号:SG-999V)。监测仪采用定时拍摄模式,像素为3000万像素,间隔时间为1小时,主要用于监测阔叶红松林林冠层主要物种随气候的季节性变化而出现的萌芽、抽枝、展叶、开花、结果、落叶及休眠等物候现象。2024年共拍摄照片13 765张,存储量达50G。典型亚热带常绿阔叶林林冠物候变化是钱江源站林冠生物多样性塔吊监测平台的长期监测项目。2024年,钱江源站林冠塔吊持续依托物候相机开展亚热带常绿阔叶林林冠物候监测工作,在塔吊样地布设两台物候相机(Bestguarder SG-999V型网络数码相机),相机安装于塔吊主体,高于林冠约5米的位置,对准典型亚热带常绿阔叶林乔木冠层开展监测,其中优势物种包括木荷(Schima superba)、甜槠(Castanopsis eyrei)等。拍摄照片的拍摄时间段为每日8:00~16:00,每4h拍摄一张,单日拍摄3张,自2024年1月1日起至12月31日,共产生2G影像数据(图3-20)。
图3-19 哀牢山塔吊样地野外复查
图3-20 钱江源林冠物候相机采集的不同时间的林冠影像

3.4.4 学术交流与培训

2024年12月19~21日,云南省自然生态定位监测网络工作培训会在楚雄彝族自治州元谋县举办,会议围绕“陆地生态系统——碳汇量监测与研究”这一主题,探讨碳汇监测相关科学研究,丽江站刘维、范中玉参加此次会议培训。与会专家通过特邀报告的形式,分享了站点科技成果产出、站点建设成效、大数据平台建设和设备维护、监测相关技术进展等方面的内容。通过此次参训,丽江站将有效借鉴数据平台建设、设备维护、观测技术提升方面的经验,落实云南省自然生态定位监测网络建设要求,推进丽江站的监测能力建设。此次培训,还听取了元谋干热河谷生态系统定位观测研究站的介绍汇报,并参观了该站观测基础设施(图3-21)。
图3-21 培训及野外学习
2024年12月7~11日,第十三届现代生态学讲座(ISOMES)在西双版纳热带植物园举办(图3-22)。此次会议由现代生态学讲座系列组织与学术委员会、中国生态学学会主办,西双版纳热带植物园、云南省生态学会和云南省植物学会承办。来自北京大学、浙江大学、香港大学、中山大学、美国亚利桑那州立大学、加拿大阿尔伯塔大学以及中国科学院院属研究机构等共计93家国内外高校和研究所的近400名学者齐聚一堂,围绕全球变化与生态系统稳定性、生物多样性保护、区域可持续发展、退化生态系统修复、濒危植物保护、国家植物园建设等关键议题开展学术交流。此次大会共开展报告89场,包括6场大会报告,21场特邀报告,20场青年报告和42场研究生报告,从不同视野和研究尺度展示了当代中国生态学家关于在全球变化下生态系统多样性、生态系统稳定性和持续性等领域的最新前沿成果。ISOMES由李博院士于1994年发起,旨在交流现代生态学领域的热点和关键问题,促进我国生态学科的发展和青年人才队伍的成长,在生态学研究领域具有重要地位与深远影响力。此次会议是ISOMES首次在热带地区召开,参会代表人数和报告数量均为历届最高。
图3-22 第十三届现代生态学讲座合影

3.4.5 国际合作

与英国爱丁堡皇家植物园、英国爱丁堡大学、德国德累斯顿工业大学、巴西圣保罗大学、巴西乌贝兰迪亚联邦大学等科研机构开展研究和学术交流(图3-23)。多人次参加国际植物学大会、《国际藻类、菌物和植物命名法规》编委会会议,德国生态学年会、巴西传粉生态学会等国际会议,并作特约报告或专题报告。参加包括全国生物多样性科学与保护研讨会、全国植物生态学大会、全国植物基因组学大会、全国系统与进化植物学研讨会等在内的多个国内会议,并作大会报告或专题报告。
图3-23 英国驻华大使吴若兰参观丽江站保育温室及合影留念
10月14日,国际长期生态学研究网络第三届开放科学大会在西双版纳热带植物园开幕(图3-24)。此次会议由中国生态系统研究网络和国际长期生态学研究网络联合主办,旨在推动全球尺度上长期生态研究网络的科学交流。来自中国、美国、德国、澳大利亚、南非等全球19个国家和地区的200多位代表参加会议。这一届国际长期生态学研究网络开放科学会议召开之际,正值西双版纳热带植物园建园65周年,西双版纳热带植物园是中国科学院下属的综合研究机构,专注于科学研究、物种保护和环境教育。西双版纳热带植物园建有39个活体植物收集区,保存了超过14 000种植物,是全球户外植物最丰富的植物园之一。西双版纳热带植物园下辖西双版纳和哀牢山两个国家级森林系统生态站,以及元江干热河谷生态站。如今,西双版纳热带植物园正在创建西双版纳热带国家植物园,有望在热带植物学和生态学研究和热带生物多样性保护中发挥更大的作用。
图3-24 国际长期生态学研究网络第三届开放科学大会合影

3.4.6 获奖情况

2024年1月9日,森林冠层生物多样性监测专项网李德铁研究员团队获由云南省科学技术厅颁发的2024年云南省自然科学奖一等奖(团体奖项)。

3.5 兽类生物多样性监测专项网

3.5.1 平台简介

兽类多样性监测专项网建立并完善了我国兽类多样性监测的标准化技术体系,并按照标准化的技术体系和监测规范对兽类物种组成、种群动态及其相关驱动因子和生态影响开展长期监测研究;建立并完善了兽类多样性监测数据网络管理与信息服务平台,为我国重要兽类资源保护、有害生物管理与控制提供技术和科学数据支撑。

3.5.2 平台重大成果情况

2024年11月21日,中国声学学会生物声学分会成立大会暨分会第一届委员会会议在海南省海口市成功举办(图3-25),肖治术研究员当选为生物声学分会主任委员。生物声学分会的成立标志着我国生物声学研究进入学科体系建设阶段,为推动这一新型交叉学科的发展和国内外学术交流提供了优良平台。未来,生物声学分会将以推动学科体系建设、创新研究和科技服务为目标,致力于加强学科交叉,促进科学进步;加强合作交流,促进人才汇聚;加强平台建设,促进行业发展,为我国生物声学事业的发展做出更多更大的贡献和努力。
图3-25 中国声学学会生物声学分会成立大会会员代表合影

3.5.3 平台亮点工作

(1)揭示棕色大熊猫毛色变异的遗传机制
在秦岭野生大熊猫种群中,出现了一种罕见的毛色突变体——棕白色大熊猫。这种非同寻常的棕白毛色表型究竟是如何形成的,又为何仅在秦岭山系种群中发现,一直是公众和研究人员迫切渴望解开的谜团。兽类多样性监测专项网魏辅文院士研究团队利用在佛坪自然保护区长期收集的野生大熊猫的生态学和遗传学数据及圈养繁育信息,建立了与棕色大熊猫七仔相关的两个家系,确定了棕白毛色的常染色体隐性遗传模式。鉴定出Bace2基因的第一外显子25bp缺失突变是棕色大熊猫最有可能的遗传基础,探索了棕色毛发形成的细胞生物学机制。该研究首次揭示了全球罕见的棕白色大熊猫的毛色变异由Bace2基因缺失突变导致。这种基因缺失突变会通过减小黑素体数量和大小的方式使得原本的黑色毛发呈现棕色,研究成果发表于美国国家科学院院刊PNAS(图3-26)。
图3-26 黑色和棕色熊猫毛发的表型
(2)揭示中国人兽冲突的时空动态格局与潜在形成机制
人兽冲突现象日趋严重,是野生动物保护管理中难以回避和亟待解决的问题。兽类多样性监测专项网研究团队收集分析了我国1990~2022年的1254条人兽冲突记录以阐明人兽冲突的时空动态格局(图3-27)。分析发现人兽冲突目前已涉及全国300余县,肇事物种23种。在局域尺度下,栖息地连通性的增加有利于种群恢复,促进种群移动扩散,但也增加了冲突发生概率。不过,这种冲突加剧的情况可能是一种暂时现象,随着国家公园等大尺度保护地的建设,通过实施栖息地修复与恢复、减少人类干扰等措施,人兽冲突有望得到缓解。研究发现,在西藏地区,捕食牲畜和破坏房屋是最常见的动物肇事类型,主要肇事物种为狼、熊类(主要为棕熊)和雪豹。社会经济因素和景观因素协同作用于人兽冲突的发生。相比于产业结构和收入来源多样化的农业区,产业结构相对单一的牧业区的冲突发生频率和肇事损失更高。上述研究为理解我国人兽冲突发生过程及其特征提供了重要基础信息,研究结果发表于保护生物学旗舰期刊Conservation BiologyBiological Conservation
图3-27 人兽冲突发生与保护区的关系
(3)揭示生物热点地区野生动物时空分布格局及保护空缺
兽类网科研人员基于喜马拉雅山脉东部和高黎贡山两个全球生物多样性热点地区的红外相机监测数据,从时间和空间两个维度揭示大中型兽类多样性分布格局(图3-28)。研究发现,沿人类活动梯度变化,显著正关联物种的比例先增加后减少,空间生态位重叠度呈中峰模式。人类活动会增加食肉类动物的夜行性,显著压缩野生动物时间生态位,增加种间互作概率。高黎贡山地区全年大中型兽类群落平均占域率对纬度表现出强烈的负响应,物种周转是区域多样性变化的主要驱动因素。与雨季相比,干季1700~2300m低海拔地区物种的增加,表明低海拔栖息地在物种保护中具有重要作用,然而其重要性在现有的保护实践中被一定程度上地忽视了。基于研究结果,建议在制
定保护措施时,需特别注意物种对栖息地的季节性需求,同时还应考虑时间动态性和空间异质性,尤其要加强对低海拔区域的保护。研究成果发表于eLifeBiological Conservation
图3-28 人类活动对食肉类和偶蹄类动物时间生态位影响
(4)科学研究助力科普宣传和法治中国建设
2024年4月8日,连新明研究员团队关于“人熊冲突”的工作情况被刊登于中国共青团团中央“学校共青团”微信公众号,同月12日,连新明主笔起草的《预防缓解三江源国家公园“人兽冲突”行动方案》由三江源国家公园、青海省林业和草原局、玉树藏族自治州人民政府和果洛藏族自治州人民政府联合发布(图3-29)。
图3-29 《预防缓解三江源国家公园“人兽冲突”行动方案》通知
连新明研究员团队协助拍摄的《守护三江源》五集纪录片于2024年4月18~22日在CCTV-1《今日说法》栏目连续播出(图3-30)。该纪录片以连新明研究员2023年出具的全国首份《野牦牛生态环境损害赔偿价值鉴定评估报告》以及司法鉴定团队负责的相关案例为素材,从森林公安的执法行动、生态法庭以案释法,农牧民参与生态保护等实例出发,全方位、多角度呈现了司法保护下三江源生态的全貌,展现各级司法机关、一线执法人员以及世代居住在保护区里的牧民运用法治的力量筑牢生态司法屏障,保障人与自然和谐共生。
图3-30 《守护三江源》纪录片

3.5.4 学术交流与培训

2024年8月13~16日,第五届野生动物监测与保护学术研讨会暨第二届全国动物声学科学与应用大会于在北京圆满召开(图3-31)。此次大会主题为“发展现代保护技术,创新野外研究范式”,吸引了来自全国不同科研院所、自然保护地、高校、企业以及民间团体等155个单位的300余名科技工作者和业界人士参加。会议探讨野生动物监测与保护的现状和发展对策,促进理论实践的合作交流,为我国履行国际《生物多样性公约》提供科学支撑。
图3-31 第五届野生动物监测与保护学术研讨会暨第二届全国动物声学科学与应用大会合影
5月31日至6月26日,第三届生物声学培训班于车八岭国家级自然保护区举办(图3-32)。来自全国各自然保护地、高校、科研院所的51名学员报名参加了此次培训班,为促进自然保护地新质生产力的发展,推动生物多样性保护技术的创新应用输送坚实的人才力量。
图3-32 第三届生物声学培训班学员合影
11月9~12日,在兽类多样性监测专项网人员的带领下,第十六届高级生态学与保护生物学野外培训班暨保护研究能力建设培训班(AFEC-X 2024)一行的33人到哀牢山生态站开展野外考察和实习(图3-33)。培训班共有24名学员,来自16个国家。此次活动有效提升了学员的野外工作技能,为将课堂知识应用于实际研究及从事相关工作奠定了坚实基础。
图3-33 AFEC-X 2024培训班合影

3.5.5 国际合作

为了保证可持续发展国际合作科学计划(SDIC)重点项目“缅甸中部生物多样性分布格局、保护状态和保护地网络优化研究”的顺利实施,权锐昌研究员与当地政府部门紧密合作(图3-34),带领团队于2024年7月30日至10月25日、11月18~25日对5个缅甸中部地区开展了两次生物多样性实地考察,考察工作包括安装红外相机、采集DNA样本、样线调查以及访谈、问卷调查等。此次考察推动了“一带一路”共建国家生物多样性分布格局的研究,为及时掌握保护地受胁情况奠定了基础。
图3-34 在内比都自然资源与环境保护部林业司举行的项目主持者、团队成员与缅甸林业司工作人员之间的讨论会

3.6 鸟类生物多样性监测专项网

3.6.1 平台简介

鸟类多样性监测和研究专项网由中国科学院下属的9个研究所承建。专项网针对鸟类不同的生态习性,重点开展迁徙和居留两大鸟类监测和研究。具体科学目标如下:主要通过运用定位追踪,同时结合在鸟类重要分布位点的调查研究工作,覆盖中亚和东亚两条迁徙路线,建立鸟类监测和研究平台;在我国重要鸟区,利用录音传输设备、红外相机列阵等,开展鸟类多样性长期的调查研究工作。在多尺度上开展鸟类物种的生态学和保护研究工作;研究环境变化对鸟类种群动态和迁徙策略的影响,推动《生物多样性公约》和《湿地公约》等国际公约的履约以及迁徙路线的研究与保护,服务国家生态安全。

3.6.2 平台重大成果情况

2024年,融合大数据、人工智能等前沿技术,构建的智能化鸟类监测平台(https://sino.birdapps.cn/web/index.html),可实时精准跟踪鸟类种群迁徙的动态与栖息地变化,为鸟类生物多样性保护提供数据驱动的决策支持(图3-35)。该平台搭建生态数据沟通的桥梁,通过普及公民科学,提高了公民生态保护意识。
图3-35 鸟类生物多样性监测专项网数据展示平台

3.6.3 平台亮点工作

(1)卫星追踪结果证实了不同纬度繁殖的大天鹅的迁徙时间点受繁殖纬度限制
利用卫星追踪数据和遥感数据,该研究首次比较了高纬度地区(67°N,日本越冬)和中纬度地区(48°N,中国越冬)127只东亚大天鹅在夏季地区的迁徙时间和停留时间。高纬度繁殖个体更有可能投资从冬季储存的和/或迁徙中带来的营养和能量,以便到达繁殖地后快速产卵,而中纬度繁殖个体似乎能够在到达繁殖区域后获得从外部环境中获取满足其大部分能量和营养生殖需求的资源。高纬度繁殖个体离开繁殖地的时间早于中纬度繁殖个体,但均在冰封之前离开。两组的迁徙时间无显著差异,说明夏季停留时间的不同会影响越冬地区的停留时间。该研究成果发表于鸟类学专业顶级国际期刊IBIS,且被评选为年度优秀工作成果。
(2)以三江平原湿地旗舰种、伞护种——东方白鹳为例,利用稳定同位素技术,基于更精确的尺度营养级框架,结合MixSIAR模型,在构建东方白鹳定量食物网的基础上,创新性地提出了利用物种间摄食比率核算重金属传输通量的新方法,从多节点、多链路、跨营养级互作的视角揭示了东方白鹳典型食物网络中重金属的转移路径与通量。该研究结果发表于国际期刊Science of the Total Environment(图3-36)。
图3-36 重金属论文
(3)研究了新疆玛纳斯国家湿地公园越冬大天鹅的多尺度栖息地选择特征
该研究以在新疆玛纳斯国家湿地公园越冬的大天鹅为研究对象,通过卫星追踪技术获取位置,用最大熵模型(MaxEnt)探讨了该物种在夜间、白天及景观尺度上的多尺度生境选择特征。研究结果表明,越冬大天鹅的生境选择在不同空间尺度上存在显著差异。该研究表明,大天鹅在不同尺度下的生境选择的影响因素不同,不同年龄阶段大天鹅的生境需求也不同,这些发现不仅有助于大天鹅的保护,也为其他越冬水鸟的生境管理提供了参考。该研究结果发表于国际著名生态学杂志Diversity
(4)研究了藏传佛教寺庙与鸟类种群和组成之间的关系
研究选择了22个分布在青藏高原的藏传佛教寺庙和17个不存在寺庙的区域。选择广义线性混合效应模型(GLMM)来探究藏传佛教寺庙的存在与鸟类相对丰度、鸟类物种丰富度和鸟类物种多样性之间的关系。研究表明,僧侣和其他寺院周围居民的投喂行为是影响这些地点鸟类群落组成的重要因素用,这对于提出新的秃鹫保护举措和促进未来青藏高原上的人与野生动物共存都至关重要。该研究结果发表于国际著名生态学杂志People and Nature
(5)支撑国家《候鸟迁飞通道保护修复中国行动计划》的编制
2024年1月,鸟类多样性监测专项网伍和启博士陪同国家发展改革委相关专家在云南省调研,就候鸟迁飞通道关键栖息地的保护问题,调研了云南省香格里拉纳帕海、丽江拉市海、大理剑湖、大理洱海和昭通大山包等国际和国家重要湿地。相关调研经验,为2024年6月国家发展改革委会同财政部、国家林草局编制并印发《候鸟迁飞通道保护修复中国行动计划(2024—2030年)》提供了支撑。此外,基于鸟类网的长期监测数据,不仅为云南鸟类迁徙通道的判定提供了部分依据,也为云南全境水鸟多样性监测网络设计的工作提供了支撑。

3.6.4 学术交流与培训

2024年4月29日至5月1日,第二届“无量论见”生态文明论坛在云南省景东县举行(图3-37)。哀牢山生态站站长范泽鑫研究员在会议开幕式上致辞,他呼吁以国家和地方需求为导向,团结协作,推动人与自然和谐共生的现代化建设,为助力景东绿色发展贡献力量。此次论坛为生态学领域的学者提供了一个高水平的学术交流平台,汇聚了理论研究成果和先进经验,提出了推动生态文明建设的具体措施,为景东县探索绿色发展路径提供了更多科学支持。
图3-37 会议开幕式
2024年8月21~29日,哀牢山生态站利用哀牢山的区位优势和43年积累的生态监测底蕴举办了生态监测实习班。该实习班接待了昆明理工大学环境科学与工程学院师生一行22人的暑期实习(图3-38)。在实习过程中,利用哀牢山地区丰富的鸟类多样性资源,带领学员学习鸟类监测技术。
图3-38 昆明理工大学环境科学与工程学院师生实习合影
2024年12月21日,《应用生态学报》、《生态学杂志》和Ecological Processes联合在哀牢山生态站举办了2024年哀牢山论坛(图3-39)。此次论坛的顺利举办,不仅展示了相关学科领域的研究前沿和最新成果,也为进一步完善三家期刊的管理提供了宝贵经验。通过深入交流,与会人员对未来的学术合作与稿件管理工作达成了许多共识,为推动生态学领域的发展注入了新的动力。
图3-39 三刊2024年哀牢山论坛合影

3.6.5 国际合作

鸟类生物多样性监测专项网在亚洲尺度下开展的系列研究成果被“湿地国际”(Wetlands International)采纳(水鸟种群门户网站,wpp.wetlands.org),对国际公约《生物多样性公约》和《湿地公约》的履约作出了贡献。专项网负责人曹垒研究员被聘任为东亚-澳大利西亚迁区伙伴关系协定技术委员会(EAAFP-TSc)成员(图3-40),这为我国在国际社会中赢得了更多话语权。鸟类生物多样性监测专项网相关工作被评选为中德合作庆典汇报项目(中国科学院-德国马普学会50周年庆典),双方单位领导人给予了充分肯定。
图3-40 2024年10月曹垒研究员作为EAAFP-TSc成员参加会议
2024年3月1~10日,鸟类多样性监测专项网伍和启博士与不丹、印度和尼泊尔的黑颈鹤研究合作伙伴,参加了在美国国际鹤类基金会总部威斯康星州举办的黑颈鹤全域保护研讨交流会,就未来3年内黑颈鹤全域保护的国际合作研究行动计划开展了沟通和交流,并获得40万美元的项目资助。
2024年11月14~17日,鸟类多样性监测专项网等单位在北京联合主办第二届亚洲鸟类学大会(AOC 2024)(图3-41)。此次大会由孙悦华研究员担任大会主席,共有528位注册代表,包括来自亚洲、美洲、欧洲、非洲和大洋洲等30个国家和地区的110余名国外研究者和嘉宾,涉及21个“一带一路”共建国家,参会总人数近600人。此次会议聚焦行为生态学、保护生物学和鸟类迁徙研究等热点问题,是世界鸟类学发展的重要事件,对亚洲乃至全球的鸟类学研究和鸟类多样性保护具有重要意义。
图3-41 2024年举办第二届亚洲鸟类学大会(AOC 2024)合影
2024年5至9月,鸟类多样性监测专项网与英国湿地和野禽基金会(WWT)合作在冰岛开展大天鹅的卫星追踪工作(图3-42);与世界自然基金会-俄罗斯分会(WWF-Russia)合作,在俄罗斯阿穆尔(Amur)保护区对黑鹳开展卫星追踪工作(图3-43)。
图3-42 2024年冰岛大天鹅追踪工作照
图3-43 2024年俄罗斯黑鹳追踪工作照

3.6.6 获奖情况

2024年鸟类多样性监测专项网王强副研究员获梁希林业科学技术奖科技进步奖二等奖(排名第1)(图3-44)。
图3-44 梁希林业科学技术奖科技进步奖二等奖
2024年9月21~27日,哀牢山生态站工程师廖辰灿受云南哀牢山国家级自然保护区楚雄管护局邀请,参与“首届哀牢山南华大中山鸟类观察邀请赛”(图3-45),并获二等奖。
图3-45 首届哀牢山南华大中山鸟类观察邀请赛现场照片

3.7 两栖爬行动物多样性监测专项网

3.7.1 平台简介

两栖爬行动物多样性监测专项网(简称两爬网)针对两栖爬行动物和生态环境之间的相互关系,从生态系统角度,深入研究了生态系统的结构和动态。该研究通过对典型生态系统中两栖爬行动物的组成、种群动态和结构的长期监测,并将野外数据与生态模型相结合,探讨了两栖爬行动物的种群现状、群落结构及其动态,阐明了样地生境演替与两栖爬行动物栖息地变迁的关系。具体如下:利用射频电子标签阅读器、鸣声自动记录仪、野外温湿度自动记录仪、便携式水质测量仪等工具重点开展个体水平的观测,掌握个体水平上的物种分布、丰度、生活史等基础资料;利用生物样品银行、Micro-CT机、高速摄像机、无线电全频跟踪定位仪、动物专用全自动生化分析仪、土壤参数自动监测仪等科学仪器,开展了种群和群落水平的长期监测和调查工作;开展了线粒体基因序列和微卫星位点多态性信息分析,系统推进宏基因组、生理生化指标和行为研究,解析了生态功能群结构和生态系统动态;共同构建了基于个体、种群和群落水平的动态和结构综合观测系统。
2024年,两爬网组织50余名科研人员分别在全国11个生物多样性监测点的227个样点采用多种技术和方法进行了两栖爬行动物多样性调查监测和研究。例如,在南太行山,平台共监测到5种两栖爬行动物,分别为太行隆肛蛙、中华蟾蜍、中国林蛙、无蹼壁虎和赤链蛇;两爬网李义明研究员团队通过在东灵山生物多样性监测点调查监测和研究工作,分析了门头沟地区两栖爬行动物多样性现状及其变化趋势,累计获取了3科3种(中华蟾蜍、中国林蛙、无蹼壁虎)。
截至2024年12月31日,两爬网累计获取了4目24科146种2025只(次)的监测记录,发现新物种44种。“中国两栖类”信息系统共收录693种中国两栖类物种,这些物种隶属于3目13科71属;释放450个中国两栖类物种的4353条 DNA条形码序列(COI和16S),覆盖65.6%的中国现生物种;收录520个中国两栖类物种的10 254张照片,覆盖75.8%的中国现生物种,监测工作取得重要进展。2024年,依托平台承担科研项目8项,发表科研论文21篇,发表两栖爬行动物新物种5种,新记录种1种,获得实用新型专利1项。

3.7.2 平台重大成果情况

两栖爬行动物是反映环境状况的良好指示物种,也是环境变化的早期预警系统之一。然而,目前它们正经历着全球范围的种群快速下降和物种灭绝的严峻形势。为了观测和研究物种及种群下降或灭绝的态势与机制,亟须对两栖爬行动物多样性及受胁因素开展长期监测和研究。鉴于此,两爬网谢锋研究员团队利用生物多样性监测平台及资源,在西藏东南部地区、西南山地沙鲁里地区及小相岭地区(四川栗子坪国家级自然保护区),进行了长达多年的实地调查,系统分析和评估了区域内两栖爬行动物的丰富度、组成、分布、受胁因素及保护空缺情况,并聚焦非本土物种(尤其是非本土鱼类)引入这一受胁因素,评估了研究区域内非本土物种的引入情况及其对两栖动物造成的生态影响,为西南山地濒危及特有两栖动物的保护提供了指导(图3-46)。
图3-46 动物表型和转录组分析图

3.7.3 平台亮点工作

(1)提出一种基于多因素的动物灭绝风险评估框架
全球变化背景下,物种受威胁等级评估是生物多样性监测和保护工作中至关重要的环节。IUCN红色名录作为目前最权威、应用最广泛的物种受威胁信息来源,其评估标准却忽视了遗传多样性、气候和土地利用变化等对物种未来存续至关重要的因素,导致误判物种受威胁状况,阻碍针对性保护措施制定。为弥补上述不足,两栖爬行动物多样性监测专项网开展了基于翔实野外调查数据的统计方法技术攻关,通过结合有效种群大小、物种栖息地面积变化等关键因素,提出并优化了物种受威胁等级评估框架,并以分布于青藏高原的10个具有重要生态功能的龙蜥属(Diploderma)物种为测试对象,对新框架的有效性进行了验证(图3-47)。
图3-47 物种灭绝风险评估
新评估框架基于龙蜥物种分布范围、当前和未来气候适宜区、适宜栖息地和有效种群大小进行秩合统计,计算出每个物种的风险排序分数(risk ranking score,RRS),用于评估物种受威胁等级。评估结果表明,察隅龙蜥(Diploderma yangi)和麒麟龙蜥(Diploderma qilin)当前受威胁等级最高;而帆背龙蜥(Diploderma vela)、巴塘龙蜥(Diploderma batangense)、草绿龙蜥(Diploderma flaviceps)、裸耳龙蜥(Diploderma dymondi)、玉龙龙蜥(Diploderma yulonggense)和滑腹龙蜥(Diploderma laeviventre)预计未来会发生严重的分布范围和潜在栖息地丧失,其受威胁等级应从“无危”(least concern)更新为“易危”(vulnerable)。此外,研究还发现龙蜥物种的头体长、相对尾长和相对头宽与风险排序分数之间存在显著的统计相关性,这意味着这些形态特征可在数据缺乏的情况下初步推断物种受威胁状况。该研究改进了现有物种风险评估框架并展示了其有效性,为濒危物种保护提供更科学、更准确的参考信息,将对研究相对匮乏物种的风险评估发挥重要作用。相关研究成果以“Enhanced risk assessment framework integrating distribution dynamics, genetically inferred populations, and morphological traits of Diploderma”为题,发表于Zoological Research
(2)发现1个国家新记录种和5个新物种
2024年,两爬网发现了1个国家新记录种南亚泛树蛙(Polypedates teraiensis)和5个新物种,分别是盐源齿蟾(Oreolalaxyanyuanensis)、南迦巴瓦舌突蛙(Liurana vallecula)、淮源林蛙(Rana qui)、光滑裸趾虎(Cyrtodactylus laevis)和高山壁虎(Gekko alpinus)(图3-48,图3-49)。这些研究成果分别发布于期刊Biodiversity Data JournalZooKeysAsian Herpetol ResAnimals。这些发现不仅丰富了我国两栖爬行动物多样性,还为已知物种的分布范围提供了新的记录。
图3-48 盐源齿蟾图
图3-49 光滑裸趾虎活体照
(3)气候变化对两栖爬行动物多样性的影响
为揭示荒漠化对雌性繁殖输出和胚胎发育的影响,两爬网杜卫国研究员团队在库布齐沙漠东缘的荒漠草原选取了2处区域(间隔大于1.5km),一处是植被覆盖度较高的生境,另一处是植被覆盖度较低的生境(图3-50)。在两个植被盖度不同的生境共捕获了78只怀卵后期的雌性蜥蜴,观察蜥蜴的繁殖输出特征,并将产的卵在两个生境中进行交互移植实验。实验结果表明,两个植被盖度生境虽然在巢穴深度、植被盖度、巢穴平均值、最低温度和温度波动范围上有显著差异,但这些差异并未对雌性繁殖输出特征产生显著影响,而对胚胎发育(包括孵化期和孵化成功率)有显著影响,表现为荒漠化使孵化期缩短,孵化成功率升高。该研究成果于2024年以“Climate warming has divergent physiological impacts on sympatric lizards”为题在线发表于Science of the Total Environment
图3-50 采样生境图(A)高植被盖度生境(B) 低植被盖度生境
了解人类活动对生物多样性的影响是现代生态学的核心问题之一。在过去几十年中,人类活动造成的气候变化已经对脊椎动物产生了显著的影响。两栖动物由于其特殊的生活史特征,更容易受到气候变化的影响。巫山巴鲵是国家二级重点保护水生野生动物,被列入中国物种红色名录,但目前针对其开展的保护研究较少。两爬网赵天副研究员团队采用最大熵模型预测了当前气候条件下巫山巴鲵的适宜分布区和未来气候变化对其适宜分布区的影响。结果表明,在当前气候情景下,巫山巴鲵的潜在适宜分布区广泛分布在中国西南部,包括重庆、湖北、四川、陕西、湖南和贵州,面积为45.61×104km²。其中高适宜分布区主要集中位于重庆市、湖北省和陕西省交界处,面积为6.51×104km²,占总适宜分布区的14.3%。2021~2040年,在SSP126情景下,适宜分布区的总面积增加到62.31×104km²,其中高适宜分布区面积增加到8.89×104km²,具体表现在四川省中部和大巴山区面积的减少以及贵州省内适宜分布区面积的增加。在SSP585情景下,高适宜分布区面积增加到8.16×104km²,新增区域主要位于重庆市东部和贵州省北部。到2061~2080年,在SSP126情景下,大巴山区高适宜分布区持续减少。在SSP585情景下,适宜分布区的总面积增加到53.50×104km²,具体表现在高适宜分布区向贵州省扩展。相关研究结果为巫山巴鲵的保护提供了重要资料,并以“中国一种濒危蝾螈的潜在适宜分布区预测(Prediction of Potential Suitable Distribution Areas for an Endangered Salamander in China)”为题,发表于Animals
(4)揭示山地两栖动物共生微生物的决定机制
动物共生菌群的决定机制是微生物生态学研究中的热点问题,但气候与动物共生菌群多样性的关系尚未获得系统性研究。山地两栖动物由于迁徙能力和迁移范围有限,不同地理种群的个体往往处于不同的气候条件下,因而成为研究这一问题的理想模型。两爬网江建平研究团队利用青藏高原东部126个两栖类动物的微生物样本(64个肠道微生物样本和62个皮肤微生物样本)和101个环境微生物样本(51个土壤环境样本和50个水环境样本),解析了宿主因子、气候因子、共生菌群和环境菌群之间的空间关联性(图3-51)。研究发现,尽管宿主因子(如物种和性别等)是影响共生微生物群落的主要驱动因素,但气候因子(如年降雨量等)亦是影响两栖动物共生菌群的重要因素,与肠道微生物的多样性和皮肤微生物的功能多样性具有显著的关联性。利用结构方程模型,我们进一步解析了这一关联性的生态学机制。结果表明环境水体中的微生物群落是两栖类动物共生菌群的重要来源,对环境气候变化敏感,这一敏感性介导了气候因子与动物共生菌群之间的间接关联。这些发现加深了我们对两栖类动物共生菌群决定机制的认识,强调了气候环境对动物共生菌群的塑造作用,提示了气候变化影响两栖动物的新途径。相关成果以“Microbial diversity in mountain-dwelling amphibians: The combined effects of host and climatic factors”为题,发表于iScience
图3-51 青藏高原环境对两栖类皮肤和肠道微生物的塑造作用
(5)入侵两栖动物美国牛蛙的适应性研究
美国牛蛙的引入和分布范围扩大是中国发生的严重的生物入侵的一部分。这种有害的两栖入侵物种具有很强的适应性,经过引进和传播,它在中国许多省份建立了自己的生态位,且分布范围正不断地扩大到更多地区。以往的研究记录了牛蛙的引入时间,以及利用线粒体计算了其在中国遗传多样性的变化,但在中国的具体引入途径仍不清楚。两爬网李义明研究员团队采用全基因组扫描检查了美国牛蛙内的单核苷酸多态性和微卫星,用以筛选来自中国八个省份和美国两个州(包括牛蛙原产地堪萨斯州)的这些入侵两栖动物物种的基因组(图3-52)。该研究共利用1 336 475个单核苷酸多态性位点和17个微卫星位点计算牛蛙的遗传多样性及其迁移途径。结果表明,湖南种群是最先被引入和传播的,并且可能存在多个亚群的引入。此外,由于瓶颈效应,尽管中国牛蛙种群中SNP和微卫星位点的遗传多样性均低于美国种群,但牛蛙可以适应并迅速传播。该研究将为预防和控制未来将入侵物种引入到中国的自然栖息地提供重要见解。该研究成果以“Variations in Genetic Diversity of Invasive Species Lithobates catesbeianus in China”为题发表于Animals
图3-52 不同种群中 Lithobates catesbeianus 系统发育树

3.7.4 学术交流与培训

2024年7月15~16日,两爬网人员参加了在新疆乌鲁木齐市召开的第十一届中国西部动物学学术研讨会(图3-53)。
图3-53 第十一届中国西部动物学学术研讨会
2024年9月18~21日,两爬网人员参加了在安徽省芜湖市召开的中国动物学会两栖爬行学分会2024年学术研讨会(图3-54)。其中赵天作报告:陆生脊椎动物生活史性状多样性的地理分布模式及驱动机制。
图3-54 中国动物学会两栖爬行学分会
2024年11月23~24日,两爬网人员在四川省成都市中国科学院成都生物研究所组织举办了中国动物学会动物行为学分会首届动物视觉信号研究培训班(图3-55)。
图3-55 首届动物视觉信号研究培训班

3.7.5 国际合作

2024年8月5~9日,两爬网研究人员:江建平、齐银、杜卫国、孙宝、姜中文、陈晓虹、王喜凤,博士后吴鹏飞、蔺秀琴以及留学生奥克桑德拉·奥斯基尔科(Oskyrko Oleksandra)等参加了在马来西亚沙捞越的婆罗洲古晋会议中心召开的第十届世界两栖爬行动物学大会(WCH10)(图3-56),并在会场作分会报告和墙报交流,其中江建平研究员应大会组委会邀请作大会报告“中国两栖动物多样性与保护”。
图3-56 第十届世界两栖爬行动物学大会
2024年3月26日,首届中国-意大利生物多样性大会在意大利首都罗马召开(图3-57)。大会围绕中意生物多样性合作战略,生物多样性、社会与人类福祉,生物多样性监测、保护及恢复等方面展开讨论。两爬网杜卫国研究员作为中方代表团成员参加会议,并作报告“爬行动物对气候变化的脆弱性预测(Predicting the vulnerability of reptiles to climate change)”。
图3-57 首届中国-意大利生物多样性大会
2024年11月17~20日,两爬网杨维康研究员团队赴哈萨克斯坦参加由全球生物多样性信息网络(GBIF)和哈萨克斯坦动物研究所联合组织的《山地和欧亚大陆干旱区生物多样性数据分析研讨会》(图3-58)。会议在哈萨克斯坦动物研究所召开,就山地和干旱欧亚大陆的生物多样性现状及数据挖掘分析展开研讨,有中国、哈萨克斯坦、吉尔吉斯斯坦、巴基斯坦、乌兹别克斯坦等国家的50余名代表参会。
图3-58 山地和欧亚大陆干旱区生物多样性数据分析研讨会

3.7.6 获奖情况

2024年1月,两爬网车静研究员获国家杰出青年科学基金贡献奖(图3-59)。
图3-59 车静研究员获国家杰出青年科学基金贡献奖
2024年1月,两爬网车静研究员及团队成员:李学友、尹婷婷、高伟、徐伟、吴云鹤、王剀、于中斌、张栋儒、金洁琼等人获国家重点研发计划表彰奖(图3-60)。
图3-60 国家重点研发计划表彰奖
2024年3月,两爬网车静研究员获中国科学院三八红旗手称号(图3-61)。
图3-61 中国科学院三八红旗手称号
2024年9月,两爬网韩仡博同学在第十五届全国生物多样性科学与保护研讨会“质兰自然保护新秀奖”中荣获二等奖(图3-62)。
图3-62 质兰自然保护新秀奖
2024年9月,两爬网李淑娟在中国动物学会两栖爬行学分会2024年第二届承钊青年学术论坛口头报告中荣获二等奖(图3-63)。
图3-63 第二届承钊青年学术论坛口头报告中荣获二等奖

3.8 内陆水体鱼类多样性监测专项网

3.8.1 平台简介

内陆水体鱼类多样性监测专项网是我国建立的第一个全国范围的内陆水体鱼类多样性监测网络。从长江、黄河、黑龙江、珠江、澜沧江、怒江、塔里木河及青海湖大流域选取代表性区域,建立鱼类监测和研究平台,通过常规监测和不断发展的新技术、新方法,获取各流域鱼类生物多样性总体概况的基本数据,建立了我国内陆水体鱼类监测规范,推动了鱼类多样性数据采集的标准化,实现了大尺度数据分析的可能性,成为构建我国内陆水体鱼类监测专项网的基础。鱼类监测专项网已经建立了我国第一个全国范围的内陆水体鱼类多样性数据库,收集和保存鱼类样本上万尾。此外,该监测专项网还收集了1997~2024年我国重要流域的鱼类数据约4万条,主要数据集包括鱼类物种多样性数据集、鱼类早期资源数据集、鱼类遗传多样性数据集、重要物种数据集等。

3.8.2 平台重大成果情况

该研究针对长江重要支流赤水河流域实施十年禁渔后鱼类群落的恢复情况开展评估(图3-64)。结果显示,禁渔后赤水河鱼类群落组成和丰度变化不大,但生物量显著增加。分类α-多样性[物种丰富度、辛普森(Simpson)指数和马加莱夫(Margalef)指数]和功能α-多样性(功能丰富度、失衡度和分散度指数)以及分类和功能β-多样性(包括周转和嵌套成分)在禁渔后没有显著变化。此外,基于单性状的群落加权平均指数(CWM)分析结果表明,禁渔后鱼类群落明显恢复,其最大体长、初次性成熟年龄和体长以及寿命的群落加权平均指数显著增加,而生长速率的群落加权平均指数呈下降趋势。该研究提出单一性状的功能多样性可以作为检测鱼类群落变化的指标,为开展长江十年禁渔效果评估提供了新的方法。相关研究成果发表于Reviews in Fish Biology and Fisheries
图3-64 禁渔前后赤水河基于单一性状的鱼类群落加权平均指数变化

3.8.3 平台亮点工作

(1)监测工作进展
2024年,内陆水体鱼类多样性监测专项网完成科技基础资源调查专项“赤水河流域水生生物多样性和濒危鱼类迁地保护潜力调查”的中期检查。通过在赤水河开展水生生物多样性野外调查,采集到水生生物物种1120种,收集数据11万余条,获得DNA条形码近3千条;收集到20种代表性鱼类个体生物学样本1万余份;收集和制作鱼类和水生生物标本5万余份,物种1087种;收集鱼类栖息地环境数据信息3千余条。
2024年,专项网还在多个流域开展常规监测,包括在长江上游干流宜宾、合江、木洞、万州、秭归江段,中游干流宜昌、宜都、湖口江段,支流岷江、赤水河,以及通江湖泊鄱阳湖开展鱼类资源、鱼类早期资源、鱼类个体生物学、珍稀鱼类中华鲟繁殖活动、繁殖群体及栖息地环境监测,在黄河、澜沧江、怒江和青海湖开展鱼类资源和栖息地环境监测,还在青海湖流域开展青海湖裸鲤种群资源和遗传多样性监测。
(2)江湖阻隔导致湖泊鱼类多样性出现灭绝债务
该研究以河湖连通性丧失后鱼类物种、功能和系统发育生物多样性的变化特征为基础,利用时间序列分析、平衡分析和历史栖息地分析3种方法,论证了栖息地破坏之后鱼类多样性存在灭绝债务现象,为开展长江上游鱼类灭绝债务研究奠定了理论基础和方法支撑(图3-65)。结果显示,江湖阻隔造成栖息地破坏显著影响长江中下游湖泊鱼类的物种多样性和系统发育多样性,但对功能多样性的影响不明显。物种多样性和系统发育多样性均表现出灭绝债务的特征,物种多样性的下降与湖泊面积和阻隔时间密切相关,系统发育多样性的下降主要与阻隔时间相关。功能多样性没有表现出明显的灭绝债务,可能是由于物种功能冗余性较高。研究结果证明,栖息地破坏可以从物种和系统发育层面造成鱼类多样性的灭绝债务现象,应高度关注生物多样性减少的滞后效应,为开展鱼类资源保护和修复工作提供了新的思路。相关研究成果发表于Ecological Indicators
图3-65 长江中下游湖泊鱼类物种多样性、功能多样性和系统发育多样性与阻隔时间和面积之间的关系
(3)滇中高原特有金线属和盘属鱼类的演化与保护
以同域分布的滇中高原金线Sinocyclocheilus和盘Discogobio为对象,分析这两个属的谱系地理格局,探讨地质事件对滇中高原鱼类演化的影响(图3-66)。结果显示,金线属和盘属在滇中高原的主要流域间形成明显地理分区,但不同地理群中含有多个祖先成分,尤其在河流袭夺区域,由于最近的二次接触而出现遗传混杂现象。同时,推断湖泊的扩张与收缩是影响滇中高原鱼类种群结构的关键地质事件,而河流袭夺事件促进了滇池金线不同地理种群间的分化。研究结果表明龙潭内金线属和盘属种群不同地理群可视为进化重要单元,因此建议将昆明盆地的四个分支作为金线属和盘属的进化重要单元,纳入未来的保护和管理策略。相关研究成果发表于Ecology and EvolutionZoologica Scripta
图3-66 基于RAD-seq的金线属和盘属鱼类的种群结构
A. 金线鲃属(Sinocyclocheilus);B. 盘属(Discogobio

3.8.4 学术交流与培训

2024年10月,内陆水体鱼类多样性监测专项网举办中国科学院西北高原生物研究所第七届(2024年)科学节活动(图3-67)。
图3-67 中国科学院西北高原生物研究所第七届(2024年)科学节活动

3.8.5 国际合作

2024年5月,内陆水体鱼类多样性监测专项网赵亚辉副研究员在马来西亚槟城参加亚洲鱼类学会,以“追逐未知(Chasing the unknown)”为题目作会议特邀报告(图3-68)。
图3-68 2024年5月内陆水体鱼类多样性监测专项网赵亚辉副研究员在马来西亚槟城参加亚洲鱼类学会
2024年9月,内陆水体鱼类多样性监测专项网曹宏研究员、高欣研究员、黎明政副研究员和刘飞副研究员参加第六届长江-密西西比河流域国际学术研讨会暨美国渔业学会(AFS)2024年年会,作“中华鲟的繁殖特征与保护策略(Reproductive characteristics and conservation strategy of Chinese sturgeon)”、“环境流量对鱼类产卵的影响与改进建议(Effects of environmental flow on fish spawning and recommendations for improvement)”等报告(图3-69)。
图3-69 2024年9月内陆水体鱼类多样性监测专项网曹宏研究员、高欣研究员、黎明政副研究员和刘飞副研究员参加第六届长江-密西西比河流域国际学术研讨会暨美国渔业学会(AFS)2024年年会

3.8.6 获奖情况

内陆水体鱼类多样性监测专项网赵凯研究员获2024年青海省自然科学奖二等奖。

3.9 昆虫多样性监测专项网

3.9.1 平台简介

昆虫多样性监测专项网选取我国主要自然区域、重要森林植被类型和具代表性的生态功能区,针对昆虫的不同门类(蝴蝶、传粉昆虫、地表甲虫、蚜虫、土壤昆虫、寄生蜂等)、食性与行为、生态功能群、生活方式和活动场所等特征,采用实时监测、野外快速鉴定等相应的昆虫监测手段和方法,开展了长期监测和研究。基于上述工作,专项网发现并描述昆虫物种多样性的基本组成和动态变化,建立数据共享平台,分析和评价昆虫多样性以及影响这些变化的关键因子(包括栖息生境、气候和人类活动等),进而提出并制定动物或生物多样性整体的保护、管理和资源可持续利用的科学决策建议。

3.9.2 平台重大成果情况

2024年度专项网已累计完成包括山西灵空山、河北大海陀在内的“SITE-100”样地的布设工作;完成河南济源、伊春凉水、山西灵空山、河北大海陀、湖北神农架的“SITE-100”样地年度收样工作;完成宁夏草地、西藏吉隆、澳门特别行政区等地昆虫多样性调查工作;持续在江西新岗山BEF-China样地开展多功能昆虫群的物种互作调查工作;参与东北亚地区、青海三江源、西藏、内蒙古、云南南滚河等地的昆虫多样性调查工作。专项网相关研究成果发表于Communications BiologyFrontiers in Ecology and Evolution、Zoological Journal of the Linnean SocietyInsects等。

3.9.3 平台亮点工作

(1)一种基于UV-LED的新型近光式昆虫灯诱器
灯光诱捕法是采集昆虫最有效的方法之一,但传统方法的设备笨重、组装流程复杂。新型近光式昆虫灯诱器通过模块化、小尺寸设计,使其具备如下特点:①近距离诱集昆虫;②持续时间长;③价格低廉。此外,该装置还具有易安装、体积小、质量轻、结构简单的特点,适用于多种生境类型下的多个昆虫类群的采集(图3-70)。该研究成果发表于Insects
图3-70 新型近光式昆虫灯诱器示意图
(2)金龟子与三栉牛属的辐射演化、物种分化与功能形态演变机制
研究从多个角度探讨了两类昆虫的演化与多样性形成机制。针对金龟科物种的研究提出了一种新的辐射演化与多样性格局研究范式,通过连续时空尺度上的角色变化来评估分支的演化历程,更好地解释了生物/非生物驱动因素对演化辐射的影响,解决了如何解释演化生物学中选择压力与演化辐射关系的难题(图3-71)。研究揭示了形态变化与选择压力之间的因果联系,所有测试角色在时间轴上的一致性变形信号为演化假说提供了强有力的支持。物种在不同选择压力下表现出不同程度的功能性形态反应,反映出生态位分化下的演化策略。该方法通过形态信息驱动的综合分析,揭示了在不同选择压力下宏演化机制的运作,适用于更多的生物多样性研究。该研究成果发表于Communications Biology
图3-71 金龟科物种不同食性类群的形态特征分化
另一项关于三栉牛科昆虫系统发育与演化历史的研究,利用了多基因分子数据,对王三栉牛属6个种及三栉牛属5个种(外群)在内的广泛样本进行了系统发育重建(图3-72)。研究揭示了三栉牛科起源于约6030万年前的古近纪晚期,而王三栉牛属则起源于约4970万年前的始新世中期。中国分布的贵州王三栉牛(Autocrates maqueti)与奥氏王三栉牛(Autocrates oberthueri)的分化发生在约1700万年前。该研究不仅完善了三栉牛科昆虫的系统发育框架,为该类群的分类学研究提供了新的分子证据,还揭示了王三栉牛属昆虫的物种分化机制和生物地理历史,为理解东亚地区昆虫区系的演变提供了重要信息。同时,该研究也发现了一些地区的三栉牛种群出现了衰减现象,强调了系统学研究在保护生物学中的重要性,为制定针对三栉牛科昆虫的保护策略提供了科学依据。该研究成果发表于Zoological Journal of the Linnean Society
图3-72 三栉牛属昆虫的演化历史及物种分化机制
(3)全球甲虫与黑大蜜蜂的适生区甄别与分布格局分析
鞘翅目是物种最丰富的动物目,分布范围最广,然而关于其全球适应性分布知之甚少。甲虫的生存与生物多样性的丰富密切相关,因此在热点区的栖息地丧失会导致甲虫高灭绝风险。该研究使用最大熵模型模拟了甲虫在6个不同时间段的适宜分布区。同时,结合当前的生物多样性区域,确定优先保护区域,并评估了鞘翅目适宜栖息地与热点区域的重叠程度。研究发现,地中海盆地在所有时间段内均为适宜栖息地最大区域,始终排名第一。其他热点区域如印度-缅甸区、伊朗-安纳托利亚区、中美洲等也具有较大适宜栖息地面积。该研究成果发表于Frontiers in Ecology and Evolution
黑大蜜蜂(Apis laboriosa)栖息于亚洲的山区,分布范围从印度北部延伸至越南北部,它是亚洲高海拔地区的重要传粉者。基于来源包括出版物、馆藏标本、开源数据库、观察以及野外观察数据,整合形成了当前全球已知黑大蜜蜂的分布点,并利用最大熵模型分析了其适生区。该研究结果扩大了黑大蜜蜂的分布范围,新增加的分布区包括越南东北部、缅甸中部、泰国北部及巴基斯坦克什米尔地区,且东部分布区的海拔比西部分布区的低。最大熵模型预测的结果显示了黑大蜜蜂的适生区主要在横断山、喜马拉雅山区域。研究结果强调了跨国家、区域性地保护该重要传粉昆虫的重要性。该研究成果发表于Frontiers in Bee Science
(4)亚热带森林传粉昆虫不同采集方法的有效性比较
通过在亚热带森林不同林份、不同季节使用不同采集方法对传粉昆虫进行采集,并将收集获取的蜜蜂分类、系统发生和功能多样性数据进行比较,评估了几种传粉昆虫采集方法的有效性(图3-73)。研究结果表明,在蜜蜂采集效率方面,蓝盘法的有效性优于其他方法,且对隧蜂科类群表现出明显偏好;通过蓝盘法采集的蜜蜂在分类和系统发育多样性上显著高于其他方法,而蓝片法采集的蜜蜂则在功能多样性方面表现最佳;通过比较不同森林类型的影响,发现混交林中采集方法的偏好性差异更为显著。进一步分析表明,蓝盘法和蓝片法的组合能够比其他两种方法的组合更接近四种方法联合采样所呈现的蜜蜂群落组成。基于上述研究结果,我们建议结合使用蓝盘法和蓝片法组合,以更高效地获得蜜蜂采集数据。同时,在设计蜜蜂采集方案时,应考虑栖息地类型,以更全面地反映蜜蜂群落的多样性。该研究成果发表于Insects
图3-73 不同林份间蜜蜂类物种丰富度和组成的两两比较
(5)新物种发现及描述
小蜂总科Sycophilodes属全球已知2种,2014年印度学者修订过该属。监测专项网在分布于西双版纳地区的高山榕果内采集到两新种,分别以Sycophilodes densfemur Yang, Peng and Rasplus sp. nov.和Sycophilodes altissimae Yang, Peng and Rasplus sp. nov.命名,描述了两新种,编制了该属4种检索表(图3-74)。该研究成果发表于Zootaxa
图3-74 Sycophilodes属两新种雌雄个体形态图

3.9.4 学术交流与培训

2024年7月23~28日,昆虫多样性监测专项网白明研究员带领团队出访澳门特别行政区,与澳门特区市政署园林绿化厅自然保护研究处、澳门大学等单位就生物多样性保护展开深入交流与合作研究(图3-75)。
图3-75 白明研究员团队参观澳门大学标本馆

3.9.5 国际合作

2024年3月20~22日,昆虫多样性监测专项网朱朝东研究员作为中德合作项目MultiTroph的中方执行首席,联合组织了多营养级研讨会(MultiTroph Symposium)2024项目年度研讨会,来自中德的40余位科研人员参与该研讨会,并就BEF-China样地后续科研合作展开了深入讨论(图3-76)。
图3-76 多营养级研讨会(MultiTroph Symposium)2024合影
2024年6月24~25日,朱朝东研究员作为主要负责人组织召开了第一届中法国际生物多样性研究网络双边研讨会,此次会议邀请了生物多样性领域的多位中法科学家,就气候变化、生物多样性丧失和保护、病毒多样性、昆虫多样性等研究方向,进行了为期两天的学术报告,并对中法面临的生物多样性全球共性问题进行了深度探讨,为中法两国在多样性领域的深度合作奠定基础。会上正式成立了中法国际生物多样性研究网络(图3-77)。
图3-77 中法国际生物多样性研究网络成立揭牌
2024年9月24~27日,昆虫多样性监测专项网组织召开了中国科学院榕树与榕小蜂创新研究国际研讨会(图3-78)。会议的主题是国际榕树榕小蜂研究网络、前沿论坛及合作研究,旨在围绕榕-蜂进化关键问题和榕树资源保护利用研究等内容构建国际合作网络,发挥青年科研人员优势,开展具有示范意义的国际合作。此次会议有来自法国、英国、泰国、马来西亚、尼泊尔、老挝以及国内多家单位的70多名研究学者通过线上线下的方式参与。在会议开幕式环节,会场的专家共同为“全球榕-蜂研究网络”揭牌,并签署了共建该网络的倡议书。
图3-78 中国科学院榕树与榕小蜂创新研究国际研讨会合影
2024年11月5~8日,彭艳琼研究员邀请法国国家农业食品与环境研究院种群生物学与管理中心的Jean-Yves Rasplus教授、美国史密森热带森林研究所的伊夫·贝塞(Yves Basset)教授以及马来西亚沙巴森林研究中心标本馆的琼·特蕾莎·佩雷拉(Joan Teresa Pereira)馆长和苏扎娜·萨布兰(Suzana Sabran)副馆长到访版纳园,并参加中国科学院东南亚生物多样性中心组织的东南亚生物多样性研讨会,就东南亚地区的生物多样性合作研究展开了深入的交流讨论(图3-79)。
图3-79 东南亚生物多样性研讨会合影

3.9.6 获奖情况

彭艳琼研究员获得2024年云南省人民政府特殊津贴并获颁证书(图3-80)。
图3-80 获奖证书

3.10 土壤动物多样性监测专项网

3.10.1 平台简介

土壤动物多样性监测专项网通过定期调查和监测,使其掌握了我国各典型温度带森林、农田等重要生境土壤动物多样性变化及其生存的宏观和微观环境特征,揭示了中国土壤动物多样性多尺度空间维持机制及其生态系统服务功能的变化和驱动因素,为科学保护土壤动物多样性和合理利用其资源提供了最基本的数据支持,促进了资源可持续利用、土壤肥力提升和生态系统生产力的维持。2024年度监测专项网开展了生态系统森林大样地、南海岛礁和河西走廊等定位监测工作,监测地理范围覆盖我国中温带、暖温带、亚热带、热带和高寒及干旱区。截至目前,已收集各类土壤动物标本3万余号,鉴定出土壤动物254种,重点监测对象是线虫、螨类、跳虫以及蚯蚓和蚂蚁等各类大型土壤动物。

3.10.2 平台重大成果情况

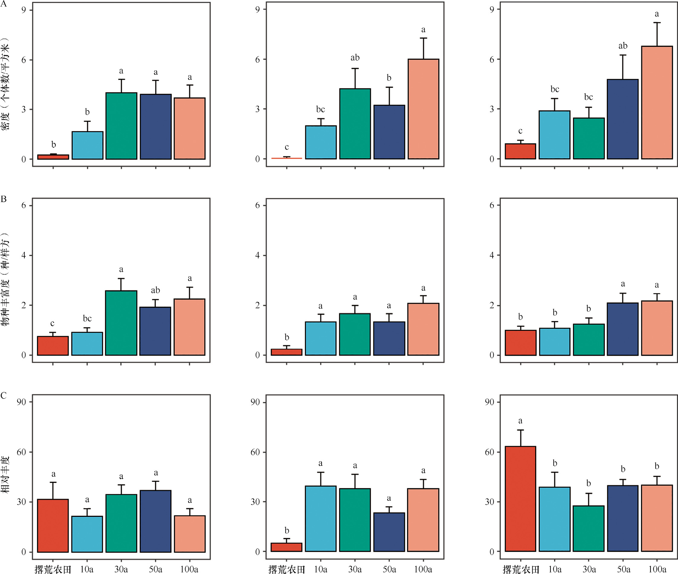
土壤动物多样性监测专项网依托中国科学院西北生态环境资源研究院位于河西走廊干旱绿洲农田的长期定位监测样地,利用手捡法系统调查了张掖绿洲不同开垦年限(10年、30年、50年和100年)农田和撂荒农田大型土壤动物群落组成与土壤环境要素变化,并观测了张掖绿洲农田演变过程中土壤动物营养结构变化与土壤环境的关系(图3-81,图3-82)。结果表明,①农田耕作提高了土壤水分、有机碳、全氮和全磷含量,但降低了pH,土壤容重随着农田耕作年限增加先下降再上升;②耕作农田大型土壤动物密度、类群丰富度和多样性指数均高于撂荒农田并随着耕作年限的增加而增大,100年农田生境大型土壤动物密度分别是10年、30年和50年农田的2.5倍、1.5倍和1.4倍;③捕食性、植食性和其他食性土壤动物的密度和类群丰富度均高于撂荒农田生境,捕食性、植食性和其他食性土壤动物密度的比值随着农田耕作年限的增加先升后降。总之,监测结果表明河西走廊绿洲农田耕作对土壤质量有积极影响,提高了大型土壤动物多样性,有助于增强农田生态系统的恢复力和生产力。该研究成果发表于Agriculture, Ecosystems & Environment
图3-81 撂荒地、10年、30年、50年和100年农田大型土壤动物密度、类群丰富度、多样性指数变化
图3-82 撂荒地、10年、30年、50年和100年农田捕食性(A)、植食性(B)和其他食性(C)大型土壤动物的密度、类群丰富度和相对丰度变化

3.10.3 平台亮点工作

(1)非洲大蜗牛入侵导致热带珊瑚岛土壤生物多样性季节变异同质化
基于对我国西沙群岛的调查,发现非洲大蜗牛入侵(图3-83)对海岛原生土壤生物多样性的影响与季节密切相关。具体表现为:蜗牛入侵在干季增加土壤真菌生物量、微生物多样性和线虫丰度,而在湿季则减少;蜗牛入侵增加了螨虫丰度和多样性,但降低了土壤酶活性;蜗牛入侵使土壤线虫群落组成、真菌细菌比值、革兰氏阳性细菌和革兰氏阴性细菌比值的季节性差异均一化;蜗牛入侵对低营养级土壤生物类群的影响不大,但对高营养级的土壤生物类群的影响更显著,土壤水分、土壤有机碳、速效磷和钾是重要的驱动因子。监测结果表明,非洲大蜗牛的入侵通过改变土壤资源有效性来减弱海岛原生土壤生物多样性的季节性变化,微生物、线虫和螨虫对蜗牛入侵和季节变化的差异响应表明了土壤生物多样性对土壤生态系统变化响应的复杂性。该结果对理解外来生物入侵影响热带珊瑚岛生态系统结构和功能的机制具有重要意义。该研究成果发表于Plant and Soil
图3-83 非洲大蜗牛在热带珊瑚岛礁的入侵情况
A. 热带珊瑚岛礁原生植被;B. 热带珊瑚岛礁未被非洲大蜗牛入侵的原生植被;C. 热带珊瑚岛礁上的非洲大蜗牛残体;D. 热带珊瑚岛礁上的非洲大蜗牛活体
(2)季节效应对亚热带森林土壤螨类群落结构的影响超过树种多样性
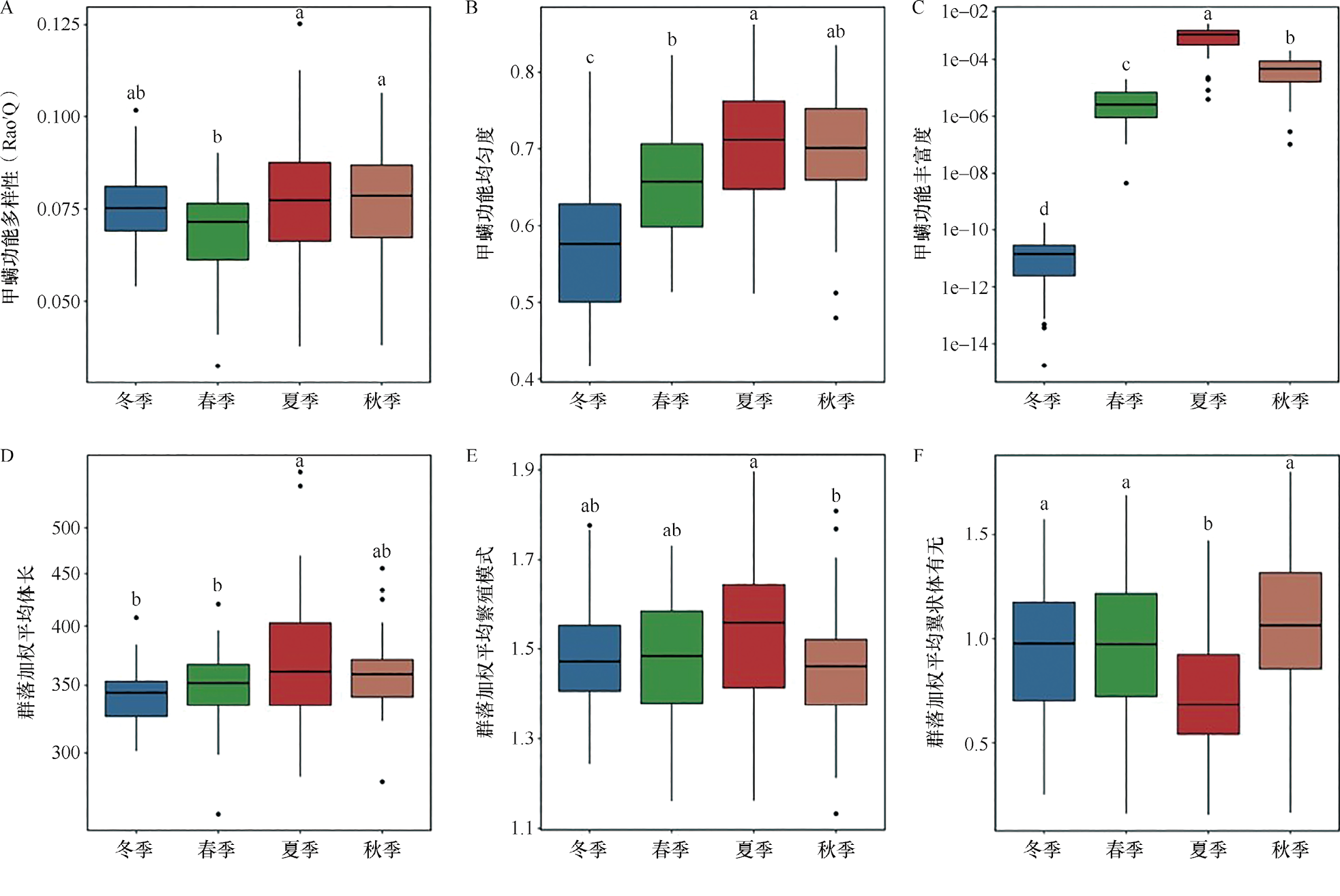
基于对江西新岗山BEF-China样地土壤甲螨群落结构与树种多样性、季节变化的关系的监测,研究发现:在亚热带森林生态系统中,土壤甲螨密度和物种丰富度在四个季节间差异显著,且在冬季时达到最大值;相比之下,树木多样性丧失对甲螨多样性影响并不显著,且树木多样性对甲螨多样性的影响随季节变化(图3-84,图3-85)。此外,甲螨群落组成随季节变化,而与树木多样性的关系不明显;甲螨的功能性状和功能多样性受季节变化影响显著,而受树木多样性变化影响较小。调查结果表明,树木多样性和季节变化可以通过非生物因素、根系及根系分泌物以及凋落物资源影响甲螨群落;气候(土壤温度和湿度)、土壤氮和凋落物多酚浓度对甲螨群落的影响较大;甲螨的功能多样性和功能性状与季节密切相关,而与树木多样性关系不大;甲螨群落的繁殖模式与树木凋落物功能多样性显著相关,这为了解森林生态系统中的甲螨群落提供了新的视角。总之,在驱动土壤甲螨群落结构和功能组成方面,季节变化的重要性超过了树木多样性。调查结果对于理解和预测土壤动物群落对季节性气候变化和植物物种多样性减少等重大全球变化的响应至关重要。该研究成果发表于Geoderma
图3-84 甲螨密度(A)和物种丰富度(B)随季节和树种丰富度的变化情况
图3-85 四个季节间甲螨群落功能多样性和功能性状的差异分析
(3)土壤和植被共同决定了热带季雨林中土壤节肢动物群落构建过程
以中国西南东经101°森林样带上的4个CTFS大样地(补蚌、纳板河、哀牢山、丽江)为研究平台,采用地统计学方法收集每个样地中的土壤节肢动物、环境因子和空间因子,调查了不同纬度地区环境因子的空间分布差异对土壤节肢动物分布的影响,并分析了环境筛选和扩散限制对土壤节肢动物群落结构的相对重要性(图3-86,图3-87)。调查结果显示:土壤节肢动物多度、科丰富度、香农-维纳(Shannon-Wiener)指数和辛普森指数随着纬度的增加呈逐渐增加的趋势,凋落物生物量是驱动土壤节肢动物群落多度、科丰富度、香农-维纳指数和辛普森指数沿纬度分布的重要预测因子;土壤节肢动物皮卢(Pielou)均匀度指数随着纬度的增加呈逐渐下降的趋势,土壤铝是驱动土壤节肢动物皮卢(Pielou)均匀度指数沿纬度分布的重要预测因子。土壤节肢动物物种替换组分主导了区域和局域尺度β多样性的变化。土壤节肢动物物种替换组分随纬度的增加而降低,而物种丰富度差异组分随纬度的增加而增加。土壤节肢动物群落构建是由确定性过程和随机性过程共同作用的结果。该研究成果发表于Catena
图3-86 不同纬度4个样地土壤节肢动物丰度(A)和科丰度(B)箱形图
箱形图上方的小写字母不同表示差异显著。BB-热带补蚌样地;NBH-热带纳版河样地;ALS-亚热带哀牢山样地;LJ-亚高山丽江样地
图3-87 4个样地收集的土壤节肢动物多度(A)和科丰度(B)的预测变量的估计重要性以及凋落物生物量与土壤节肢动物丰度(C)、科丰富度(D)的对数回归结果
土壤节肢动物丰度与科丰度红色表示正相关,蓝色表示负相关。对数回归结果表明,凋落物生物量与土壤节肢动物丰度(C)、科丰富度(D)极显著正相关,*P < 0.05, **P < 0.01。TC-总碳;TN-总氮;TP-总磷;AP-有效磷;BB-热带补蚌样地;NBH-热带纳版河样地;ALS-亚热带哀牢山样地;LJ-亚高山丽江样地

3.10.4 学术交流与培训

2024年4月12~15日,土壤动物多样性监测专项网吴文佳助理研究员在福州举办的第一届青年生态学论坛中作报告(图3-88)。
图3-88 吴文佳助理研究员在第一届青年生态学论坛作报告
2024年10月25~27日,刘占锋研究员参加在沈阳举办的第二十三届中国生态学大会并作报告(图3-89)。
图3-89 刘占锋研究员参加第二十三届中国生态学大会并作报告
2024年10月20~23日,张晓珂研究员参加在南京举办的土壤工程新技术与应用展望学术研讨会并作报告(图3-90)。
图3-90 张晓珂研究员参加土壤工程新技术与应用展望学术研讨会
2024年9月19~22日,吴东辉研究员参加在北京举办的全球变化生态学前言论坛并作学术报告(图3-91)。
图3-91 吴东辉研究员参加全球变化生态学前言论坛并作学术报告

3.11 土壤微生物多样性监测专项网

3.11.1 平台简介

土壤微生物多样性监测专项网以生物多样性保护和生物资源持续利用为导向,选择中国南北热量梯度和东西水分梯度下典型森林、草原和湿地生态系统进行土壤微生物定位监测工作,掌握土壤微生物种类和功能多样性的时空分布格局及构建机制,深入解析了微生物关键表型和基因组性状变异的前因后果,为我国生物多样性研究和制定保护行动计划提供系统科学的数据。专项网共计提交35万条土壤微生物数据。

3.11.2 平台重大成果情况

2024年度对35个森林、草原、湿地和荒地典型生态系统开展了土壤微生物种类和功能多样性监测工作,提交15 000条监测数据;揭示了内蒙古草原土壤微生物水平基因组转移和功能多样性对氮沉降的响应规律;阐明了青藏高原土壤奇古菌适应干旱环境的进化机制;揭示了草甸退化对土壤丛枝菌根共生关系的影响。此外,建立的土壤微生物数据平台已测定和搜集了与全球土壤微生物相关的高质量数据集15 723套,对外服务完成任务29 375个。

3.11.3 平台亮点工作

(1)揭示了内蒙古草原土壤微生物水平基因组转移及功能多样性对氮沉降的响应规律
2024年度依托于内蒙古长期氮控制实验平台,结合土壤养分和胁迫变化,在四象限框架下提出并证实了水平基因转移和分子网络层面的假说:①环境选择驱动力的改变促使微生物通过水平基因转移提升群落适合度;②资源匮乏和土壤酸化胁迫提升了寡营养的胁迫耐受型微生物类群间的合作(图3-92)。相关研究成果发表于npj Biofilms and Microbiomes
图3-92 四象限框架
(2)阐明了青藏高原草甸退化对土壤丛枝菌根共生的影响
2024年度利用野外观测和温室同位素双标记技术,发现草甸退化提高了生物市场中植物来源碳交换菌根真菌供给氮的交易价格、增加了菌根真菌网络的复杂度,且菌根真菌将更多生物量投入到具有吸收功能的菌丝体,代价是减少了具有繁殖功能孢子的数量。此外,尽管根外菌丝和土壤孢子比例随草甸退化显著升高,土壤菌根真菌群落却保持稳定,表明了丛枝菌根功能性状的可塑性(图3-93)。相关研究成果发表于New phytologist
图3-93 草甸退化对丛枝菌根碳氮交易的影响
(3)揭示了青藏高原土壤奇古菌适应干旱的进化机制
针对内蒙古和青藏高原干旱和半干旱土壤,利用微生物宏基因组binning技术拼接获得23个高质量奇古菌基因组(图3-94)。干旱土壤奇古菌进化上位于陆地氨氧化菌的早期分支。亚氯酸盐歧化酶、砷酸盐还原酶、V型ATP酶以及抵抗氧化胁迫基因赋予奇古菌对干旱的适应性。尿素转运蛋白、甘露糖基-3-磷酸甘油酸合酶和磷酸酶、DNA末端结合蛋白Ku和噬菌体休克蛋白A可能促进了奇古菌的长期耐旱适应性进化。相关研究成果发表于Environmental Microbiology
图3-94 青藏高原草地土壤奇古菌的MAGs基因组进化分析

3.11.4 学术交流与培训

2024年8月23~26日,郭良栋研究员于福建省福州市主办中国菌物学会2024年学术年会,会议围绕菌物多样性及系统学、食用真菌、医学真菌、菌物组学、菌物化学、药用真菌、植物病原菌物、菌物遗传及分子生物学、虫生真菌、地衣生物学、菌根及内生真菌、海洋淡水菌物等13个主题,中国菌物学会各专业委员会分别组织了22个分会场,安排226位口头报告。同时,会议展示29幅墙报,收录337篇摘要,展示26家菌物学领域企事业产品与成果(图3-95)。
图3-95 中国菌物学会2024学术年会

3.11.5 国际合作

2024年8月10~17日,高程研究员赴荷兰马斯特里赫特参加第十二届国际真菌学大会,作了题为“宏基因组学视角下的地衣研究(Metagenomic insights into lichens)”的口头报告,与国际同行分享研究进展并讨论未来真菌学的发展方向。
复制
笔记
高亮
搜索
笔记 0
高亮 0
笔记
0 / 500
笔记详情
2025-08-26 14:49
中国科学院生物多样性监测与研究网络-中国科学院战略生物资源计划2024年度工作报告